0 引 言
1 材料与方法
1.1 试验样品
1.2 水心病等级划分方法
1.3 高光谱成像系统及反射光谱采集
1.3.1 高光谱成像系统
1.3.2 数据处理方法
1.4 可溶性固形物的测定
1.5 X-ray CT成像
1.5.1 定量计算苹果水心病组织空间体积占比
1.5.2 观察苹果水心病组织微观结构
1.6 模型的建立及特征波段的挑选
1.6.1 预测模型的建立
1.6.2 特征波段的筛选
2 结果与讨论
2.1 水心病等级划分结果
表1 不同苹果水心病等级划分结果Table 1 Grading results of apple watercore at different severity levels |
| 水心病等级 | 批数/个 | 总计/个 | |||
|---|---|---|---|---|---|
| 第一批 | 第二批 | 第三批 | 第四批 | ||
| 正常 | 58 | 28 | 19 | 8 | 113 |
| 轻微 | 10 | 21 | 17 | 13 | 61 |
| 中度 | 3 | 19 | 11 | 14 | 47 |
| 重度 | 1 | 2 | 2 | 4 | 9 |
| 总计 | 72 | 70 | 49 | 39 | 230 |
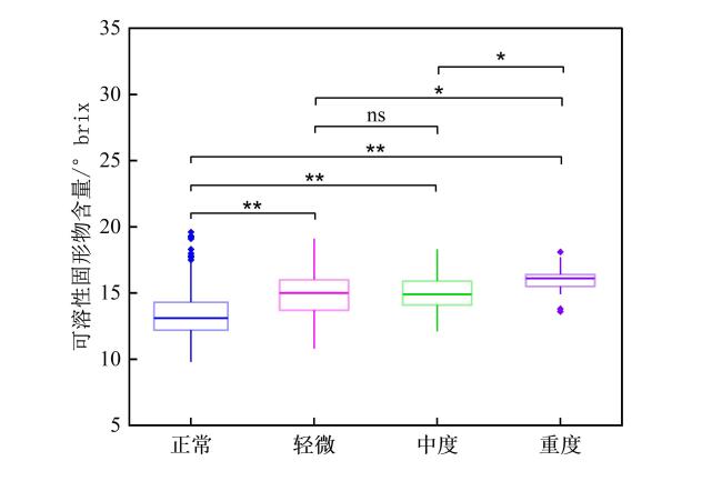
2.2 可溶性固形物变化
2.3 不同水心程度苹果果实X-ray CT成像分析
2.3.1 苹果水心病组织空间体积统计分析
2.3.2 苹果水心病组织微观结构特性分析
2.4 不同水心程度苹果果实成像光谱分析
2.5 不同水心程度苹果果实分级模型构建
表2 不同算法构建不同水心程度苹果果实分级模型的建模效果Table 2 Modeling effects of apple fruit grading models for different water core degrees constructed by different algorithms |
| 模型 | 样本集合 | 总体/% | 正常组/% | 轻度水心组/% | 中度水心组/% | 重度水心组/% |
|---|---|---|---|---|---|---|
| PLS | 训练集 | 98.7 | 99.2 | 95.8 | 100.0 | 100.0 |
| 测试集 | 95.9 | 95.9 | 100.0 | 87.5 | 100.0 | |
| SVM | 训练集 | 99.6 | 100.0 | 100.0 | 97.8 | 100.0 |
| 测试集 | 82.8 | 100.0 | 57.1 | 75.0 | 25.0 | |
| CNN | 训练集 | 94.2 | 97.9 | 94.9 | 80.4 | 100.0 |
| 测试集 | 77.3 | 97.2 | 83.3 | 52.4 | 33.3 |
2.6 不同水心程度苹果果实分级模型特征波段筛选
表3 不同水心程度苹果果实基于PLS算法的建模效果Table 3 Modeling effects of apple fruits with different water core degrees based on the pls algorithm |
| 特征波段筛选方法 | 样本集合 | 总体/% | 正常组/% | 轻度水心组/% | 中度水心组/% | 重度水心组/% |
|---|---|---|---|---|---|---|
| CARS | 训练集 | 90.25 | 95.08 | 91.49 | 74.42 | 100.00 |
| 测试集 | 86.06 | 95.92 | 73.33 | 75.00 | 100.00 | |
| SPA | 训练集 | 77.92 | 83.61 | 65.96 | 72.09 | 90.00 |
| 测试集 | 82.87 | 89.8 | 66.67 | 75.00 | 100.00 | |
| UVE | 训练集 | 95.67 | 98.36 | 93.62 | 90.70 | 100.00 |
| 测试集 | 86.06 | 95.92 | 73.33 | 75.00 | 100.00 |
2.7 不同水心程度苹果果实SSC回归模型构建
表4 不同算法构建的不同水心程度苹果果实在400~1 000 nm处反射光谱SSC回归模型的预测效果Table 4 Prediction effects of SSC regression models based on reflectance spectra in the 400~1 000 nm range for apples with different water core degrees constructed by different algorithms |
| 模型 | 校正集 | 预测集 | ||
|---|---|---|---|---|
| RMSEC | RMSEP | |||
| PLSR | 0.962 | 0.264 | 0.879 | 0.435 |
| SVR | 0.998 | 0.057 | 0.771 | 1.057 |
| CNN | 0.930 | 0.355 | 0.822 | 0.539 |
2.8 不同水心程度苹果果实SSC回归模型特征波段筛选
表5 基于不同水心程度苹果果实在特征波段处反射光谱SSC的PLSR模型效果Table 5 Performance of PLSR models for SSC prediction using reflectance spectra at characteristic wavelengths in apples with different watercore severity levels |
| 方法 | 校正集 | 测试集 | 交叉验证 | |||
|---|---|---|---|---|---|---|
| RMSEC | RMSEP | RMSECV | ||||
| CARS | 0.653 | 0.799 | 0.615 | 0.779 | 0.626 | 0.830 |
| SPA | 0.846 | 0.532 | 0.792 | 0.576 | 0.781 | 0.637 |
| UVE | 0.448 | 1.007 | 0.498 | 0.884 | 0.423 | 1.031 |





