Welcome to Smart Agriculture 中文
Topic--Intelligent Sensing and Grading of Agricultural Product Quality

Detection of Amylose in Fresh Corn Ears Based on Near-Infrared Spectroscopy

  • XUE Zhicheng 1 ,
  • ZHANG Yongli , 2, 3 ,
  • ZHANG Jianxing 2, 3 ,
  • CHEN Fei 2, 3 ,
  • HUAN Kewei , 1 ,
  • ZHAO Baishun 1
Expand
  • 1. School of Physics, Changchun University of Science and Technology, Changchun 130022, China
  • 2. Institute of Planning and Design, Ministry of Agriculture and Rural Affairs, Beijing 100125, China
  • 3. Key Laboratory of Primary Processing of Agricultural Products, Ministry of Agriculture and Rural Affairs, Beijing 100125, China
ZHANG Yongli, E-mail: ;
HUAN Kewei, E-mail:

XUE Zhicheng, E-mail:

Received date: 2025-05-28

  Online published: 2025-08-19

Supported by

National Key Research and Development Program(2023YFD2001301)

Science and Technology Development Plan Project of Jilin Province(20250601077RC)

Copyright

copyright©2025 by the authors

Abstract

[Objective] Fresh corn is increasingly an important choice in the daily diet of consumers due to its rich nutrition and sweet taste. With the improvement of living standards, people's quality requirements for fresh corn continue to improve, among which amylose content is a key indicator affecting the taste and flavor of corn, at present, the industry mainly uses chemical detection methods to determine amylose content, which is not only time-consuming and laborious, destroys samples, but also difficult to meet the needs of rapid detection in modern agricultural production and food processing. Therefore, the development of an efficient, accurate and non-destructive rapid detection technology for amylose has become a key issue in the field of agricultural product quality control. [Methods] In this study, a non-destructive detection model for amylose content in ears of fresh corn based on near-infrared spectroscopy technology was established. Taking Jinguan 597 fresh corn as the research object, the near-infrared spectroscopic detection system independently built by the laboratory was used to collect diffuse reflectance spectral data in the middle area of the complete corn ear to ensure that the detection process did not damage the integrity of the sample. At the same time, the physical and chemical values of amylose content in samples were determined with reference, and a standard database was established. In the data preprocessing stage, the Mahalanobis Distance method was used to screen the outliers of the original spectral data, and the abnormal samples caused by operating errors or sample defects were eliminated, and finally 90 representative fresh corn samples were retained for modeling analysis. In order to optimize the model performance, the effects of five mainstream spectral pretreatment methods were compared: standard normal variable (SNV) transform to eliminate the influence of optical path difference, multiplicative scatter correction (MSC) to reduce particle scattering interference, SavitZky-Golay smoothing (SGS) to remove random noise, first-order derivative (FD) to enhance spectral characteristic peaks, and detrending (DT) to eliminate baseline drift. Based on the partial least squares regression (PLSR) algorithm, a full-band amylose prediction model was constructed, and the robustness of the model was evaluated by cross-validation. In order to further improve the efficiency of model operation, the characteristic wavelengths with the strongest correlation with amylose content were selected from the whole spectrum by innovatively combining two variable selection methods, competitive adaptive reweighted sampling (CARS) and continuous successive projections algorithm (SPA), and a simplified characteristic band prediction model was established. [Results and Discussions] The results demonstrated that among the various combined models incorporating different preprocessing and feature wavelength selection methods, the "SNV-CARS-PLSR" model, which integrated SNV preprocessing with CARS feature extraction, exhibited superior performance. This model significantly outperformed alternative modeling approaches in predictive capability. The model achieved the following performance metrics: a calibration coefficient of determination (R2C) of 0.826, root mean square error of calibration (RMSEC) of 1.399, prediction coefficient of determination (R2P) of 0.820, root mean square error of prediction (RMSEP) of 1.081, and residual predictive deviation (RPD) of 2.426. Comparative analysis revealed that the "SNV-CARS-PLSR" model showed a 14.0% improvement in R2P compared to the full-band PLSR model with SNV preprocessing alone. This enhancement was primarily attributed to the CARS algorithm's effective identification of key feature wavelengths. Through its adaptive weighting and iterative optimization process, CARS successfully extracted 22 characteristic wavelengths that were strongly correlated with amylose content from the original 157 wavelength points in the full spectrum. This selective extraction process effectively eliminated redundant spectral information and noise interference, thereby significantly improving the model's predictive accuracy. [Conclusions] Combined SNV preprocessing with CARS feature selection, the study successfully established a rapid, non-destructive prediction model for amylose content in fresh maize ears utilizing near-infrared spectroscopy technology. The developed methodology demonstrated significant advantages, including rapid analysis capability and complete non destructiveness of samples. The reseach could provide technical support for rapid, non-destructive detection of amylose in fresh maize ears.

Cite this article

XUE Zhicheng , ZHANG Yongli , ZHANG Jianxing , CHEN Fei , HUAN Kewei , ZHAO Baishun . Detection of Amylose in Fresh Corn Ears Based on Near-Infrared Spectroscopy[J]. Smart Agriculture, 2025 , 7(4) : 132 -140 . DOI: 10.12133/j.smartag.SA202505030

0 引 言

中国是全球最大的鲜食玉米生产和消费国,鲜食玉米品种多样、口感丰富、组分均衡1。其中,淀粉作为鲜食玉米主要的碳水化合物组分,包括直链淀粉和支链淀粉。直链淀粉是脱水葡萄糖单元间经a-1,4糖苷键连接成的呈右手螺旋状的分子2。在鲜食玉米的品质评价中,直链淀粉含量是一个关键指标,其含量决定着鲜食玉米的黏糯性,适当的淀粉含量有利于保持良好的口感3,直链淀粉占比越低,说明鲜食玉米口感越糯4。目前,直链淀粉含量的测定方法主要包括碘比色法、色谱法。虽然这些方法结果可靠,但前者操作繁琐、耗时长;后者设备昂贵,同时色谱法的样品制备过程十分复杂且耗时,不适合鲜食玉米大规模样品检测的需求5。目前鲜食玉米市场口感差异较大,缺乏一种方法能够快速无损地评定鲜食玉米中的直链淀粉含量。
近年来,近红外光谱技术凭借其高效、环保、非破坏性等优势,广泛应用于农业和食品领域6, 7,众多学者围绕此技术展开了深入研究,并构建了多种谷物成分的检测模型,在不同谷物成分检测中展现出优异的性能。在水稻品质检测方面,Xie等8通过近红外光谱(Near Infrared Spectrum Instrument, NIRS)系统(1 000—2 500 nm)对129个水稻品种的光谱数据进行分析,建立了表观直链淀粉、直链淀粉和支链淀粉的检测模型,其测试集决定系数分别高达0.977、0.928和0.912,显示出极高的预测精度。Zhang等9聚焦于谷子品质检测,通过对111份谷子样品进行研究发现,脱壳籽粒模型的性能显著优于带壳籽粒,其中表观直链淀粉的校正决定系数达到0.843,总淀粉和粗蛋白的分别为0.912和0.978。外部验证结果进一步证实,脱壳籽粒模型的预测决定系数稳定在0.833~0.970之间,明显优于带壳籽粒(0.794~0.888)。对于小米品质检测,田翔等10利用250份小米样品构建了基于近红外光谱的淀粉、直链淀粉、蛋白质和脂肪含量检测模型,测试集决定系数分别达到0.92、0.91、0.97和0.90,模型性能优异。目前,基于近红外光谱的鲜食玉米果穗直链淀粉预测模型的相关研究鲜有报道。
在近红外检测过程中,光谱数据除了包含待测成分的相关信息外,还存在大量无关信息和噪声等干扰因素11,因此特征波长提取方法是提高模型预测性能的有效途径。特征提取从原始变量空间中搜索最优的变量子集,选择与研究相关程度高的部分变量,从而实现提高模型的预测能力和可靠性12。相较于全波段建模,特征波段建模能够降低模型的复杂度,减少非相关因素的干扰13。Fan等14在苹果可溶性固形物含量(Soluble Solid Content, SSC)的快速检测研究中,巧妙地运用了竞争性自适应重加权采样(Competitive Adaptive Reweighted Sampling, CARS)和连续投影算法(Successive Projections Algorithm, SPA)这两种先进的特征波长提取方法,经过严谨的筛选过程,他们成功地从原始光谱数据中提取出15个有效波长,基于这15个精心挑选的特征波长,建立了快速检测苹果可溶性固形物含量的模型,与传统的全波段建模相比,该模型在保证预测精度的同时,显著减少了特征波长的数量,大大简化了模型结构,提高了模型的运行效率和稳定性,为苹果品质的快速检测提供了一种高效、便捷的新方法。
本课题组前期开展了鲜食玉米果穗近红外光谱检测关键因素分析,初步建立了鲜食玉米果穗含水率检测模型15。本研究针对鲜食玉米果穗直链淀粉含量开展检测,选用90份鲜食玉米果穗样品构建数据集,以籽粒排列整齐的样品中部为采集区域,多点采集光谱信息,训练集与测试集的比例设定为4∶1,选择合适的光谱预处理方法,采用特征波长提取进行优化,建立了基于偏最小二乘法(Partial Least Squares Regression, PLSR)的鲜食玉米直链淀粉含量的近红外光谱检测模型,为实现鲜食玉米果穗直链淀粉的快速、无损检测提供技术支撑。

1 材料与方法

1.1 试验材料

试验选用金冠597鲜食甜玉米作为试验材料,在成熟季节清晨采收后立即冷链运输至实验室,在4 ℃、相对湿度85%~90%冰箱中冷藏保存。于次日清晨将样品从冰箱中取出,在室温25 ℃下静置2 h,经人工去除苞叶、玉米须及穗柄后,筛选出籽粒饱满、大小均一且无机械损伤的样品进行编号处理,最终选取145根果穗作为样本用于实验。

1.2 直链淀粉化学值测定

淀粉可与碘发生特异性显色反应,其中支链淀粉形成棕红色络合物,而直链淀粉则产生深蓝色络合物。该显色差异源于两者分子结构的空间构型不同16。直链淀粉的测定选用PCZ-Ⅱ型直链淀粉测定仪,完成光谱采集后,参考NY/T 55—1987《水稻、玉米、谷子籽粒直链淀粉测定法》,逐个测定每个样品的直链淀粉值。测定时,取对应光谱采集区域(果穗中部)的完整籽粒冻干粉碎后过80目筛,称取0.1 g样品粉末,加入无水乙醇和氢氧化钠溶液,沸水浴分散10 min后冷却定容,取20 ml分散液用石油醚脱脂3次,再取5 ml脱脂液加入醋酸和碘试剂显色,定容后静置10 min,用直链淀粉测定仪测量,为减少误差,每个样品进行两次平行测定,计算其平均值为该鲜食玉米样品直链淀粉的最终测定值。

1.3 近红外光谱数据采集

实验采用自行搭建的漫反射式近红外光谱无损检测装置测量鲜食玉米样品光谱,装置详情见参考文献[15]。采用德国INSION的 aMSM NIR256 1.7 NT/S型近红外光纤光谱仪,其光谱分辨率为2 nm,近红外波长范围设定为900~1 700 nm,这一波段范围涵盖了众多与鲜食玉米内部成分(如水分、糖分、淀粉等)相关的特征吸收峰,能够为后续分析提供丰富的信息。
在正式开展实验前,为减少因温度变化而导致的测量误差,对近红外光纤光谱仪提前预热30 min,精心挑选出果穗粗细一致、籽粒排列整齐的个体作为实验样品,选取鲜食玉米的中部作为采集部位。在每次测量过程中,为了全面获取玉米样品在不同角度下的光谱信息,将样品沿着果穗中轴线进行360°旋转,每个样品重复进行6次光谱采集操作,针对本次实验的145根鲜食玉米样品,共采集了870次光谱数据,获得145条平均原始光谱数据作为最终测量所得到的鲜食玉米近红外光谱数据。计算组内标准差作为误差的评价指标,通过对所有样品6次重复采集的近红外光谱数据进行统计分析,各组光谱数据的平均标准差为0.278 3,其中最大标准差为0.301 4,满足实验要求。

1.4 光谱预处理和波段选择

由于鲜食玉米果穗粗细不一且籽粒之间存在一定的缝隙,在光谱采集时存在一定程度的反射和散射干扰信息,本研究分别采用标准正态变量变换校正(Standard Normal Variate, SNV)、多元散射校正(Multiplicative Scatter Correction, MSC)、SavitZky-Golay平滑(SavitZky-Golay Smoothing, SGS)、一阶导数(First Derivative,FD)和去趋势(Detrending, DT)算法对鲜食玉米样本光谱进行光谱预处理,其中SNV和MSC方法用来消除由于样品形状分布和大小所产生的散射对光谱的影响;SGS和DT能够有效提高谱图信噪比;FD处理主要是消除仪器背景对数据采集的影响,这些预处理方法能够消除光谱中的噪声、基线漂移和散射等影响,提高光谱数据的质量和模型的预测精度17
鲜食玉米中含有大量水分和多种化合物,全波段光谱数据维度较高且包含了大量与直链淀粉检测不相关的信息,通过挑选特征波长可以有效消除无关变量干扰,降低数据复杂度,增强模型的稳定性和预测精度18。本研究采用CARS和SPA进行特征波长提取,建立特征波段鲜食玉米直链淀粉含量的预测模型。

1.5 异常值剔除与样本分类

本研究采用马氏距离进行异常值剔除。马氏距离是基于不同样本数据到样本集中心值的距离来量化样本间的差异性19。基于马氏距离分析,首先分别计算每个样本到数据分布中心的马氏距离,然后以所有样本马氏距离的均值加上2倍标准差作为阈值,最终将马氏距离超过该阈值的样本判定为异常值,剔除超出阈值的异常样本,此实验共计删除55个样本,剩余90个样品用于测定。这些剩余的样本在光谱特征和理化性质上具有更好的一致性和代表性,能够更准确地反映鲜食玉米样本的总体特征。
本研究中,采用了基于联合X-Y距离的样本集划分方法(Sample set Partitioning based on Joint X-Y distances, SPXY)将收集到的鲜食玉米光谱及理化数据集按照4∶1的比例精准划分为训练集与测试集。在传统的样本集划分方法中,如随机划分法,往往仅依据单一变量进行距离计算和样本划分,这种方式容易忽略样本在理化特性上的差异,导致划分后的样本集无法全面、准确地反映样本的整体分布情况。而SPXY算法打破了这一局限,通过同步计算样本的光谱特征和理化性质的距离参数,优化样本空间分布表征,增强多维向量空间覆盖度,提升样本集的变异性和典型性,提高模型稳定性20

1.6 模型建立方法与评价标准

本研究将处理后的数据使用MATLAB建立PLSR鲜食玉米直链淀粉预测模型。PLSR通过协同分解光谱矩阵 X 和响应矩阵 Y,建立两者的潜在变量关系。该算法在提取主成分时,优化最大化主成分与响应变量的相关性,充分提取光谱特征信息,从而构建最优预测模型18。在利用PLSR建立模型时,通过十折交叉验证,以交叉验证均方根误差(Root Mean Square Error of Cross-Validation, RMSECV)最小值确定最佳潜变量(Latent Variables, LVs),该参数的选择既保证了模型具有足够的复杂度以捕捉样品的光谱信息,又有效避免了过拟合问题21
通过决定系数R 2、均方根误差(Root Mean Square Error, RMSE)和剩余预测偏差(Residual Predictive Deviation, RPD)来评价所建模型性能22-24R 2和RMSE分别计算训练集(R 2 C、Root Mean Square Error of Calibration, RMSEC)和测试集(R 2 P、Root Mean Square Error of Prediction, RMSEP)的数值。

2 结果与分析

2.1 鲜食玉米直链淀粉含量的分布

建模数据包含90个鲜食玉米样品,按SPXY方法划分为72个训练集和18个测试集。直链淀粉测定结果如表1所示。根据表1中数据,训练集样品的直链淀粉含量范围为0.94%~14.98%,涵盖了测试集样品的浓度范围,其中最大值与最小值差异为14.04%。
表1 鲜食玉米直链淀粉含量

Table 1 Amylose content of fresh corn

参数 样本量/个 最大值/% 最小值/% 平均值/% 标准差
训练集 72 14.98 0.94 7.13 3.38
测试集 18 12.11 2.13 7.25 2.62

2.2 鲜食玉米近红外光谱分析

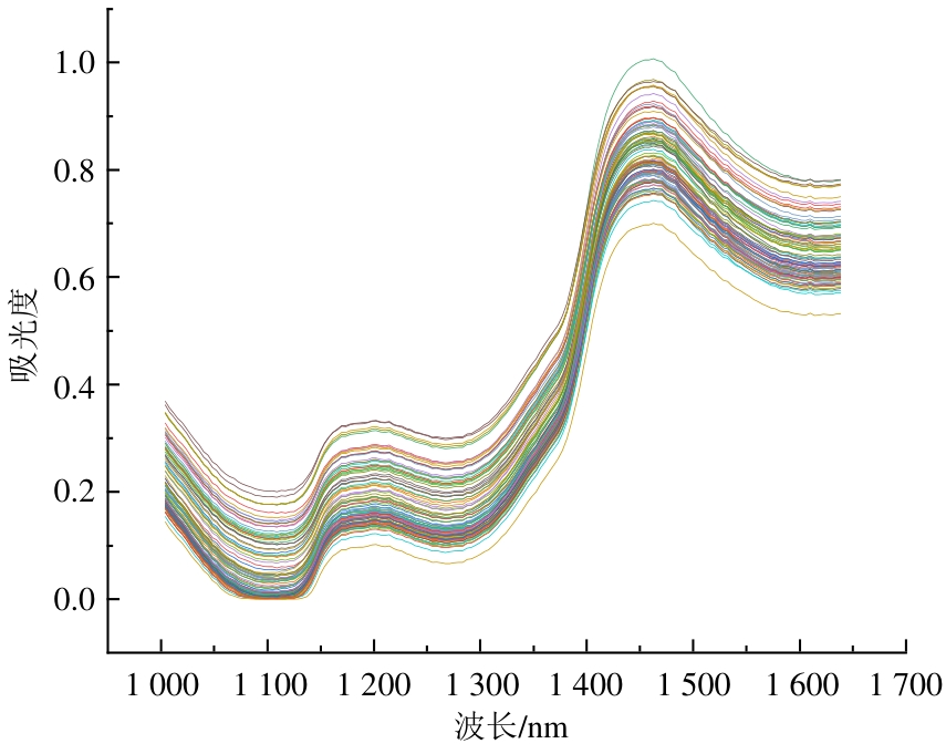
经观察,光谱仪器在900和1 700 nm波长附近的反射强度较低且伴有大量噪声,因此本研究选择1 000~1 650 nm波长范围的光谱数据作进一步分析。鲜食玉米原始光谱曲线如图1所示,可以观察到,不同鲜食玉米样品的光谱曲线趋势基本一致,在波长1 200与1 450 nm附近均有明显的吸收峰,其中1 200 nm的吸收峰主要是由N-H键的振动吸收引起, 1 450 nm的吸收峰主要是由水分对光谱吸收引起的25
图1 鲜食玉米原始光谱曲线

Fig.1 Primitive spectral curves of fresh corn

2.3 直链淀粉全波段预测模型建立

本研究采用SNV、MSC、SGS、FD和DT算法对光谱数据进行预处理,通过交叉验证确定LVs后,采用PLSR方法建立鲜食玉米直链淀粉的预测模型,直链淀粉全波段建模结果如表2所示,可知不同光谱预处理方法对模型预测精度的影响显著,其中未进行预处理的全波段模型的测试集R 2 p、RMSEP、RPD分别为0.601、1.885、1.630,明显低于经预处理后的结果,表明适当的预处理方法可以提高模型预测精度。对比不同的预处理方法,SNV预处理后的模型表现最优,其测试集R 2 P达到0.680,较原始光谱提高7.9%,RMSEP降至为1.675,RPD为1.819。因此,综合考虑模型精度和光谱稳定性,本研究最终选择SNV预处理后的数据进行后续的特征波长提取及建模分析。图2分别展示了原始近红外光谱数据经不同预处理方法(SNV、MSC、SGS、FD、DT)处理后的谱图变化情况。
表2 鲜食玉米直链淀粉全波段建模数据对比

Table 2 Comparison of full-spectrum modeling data of amylose in fresh corn

序号 方法 预处理方法 LVs 训练集 测试集
R 2 C RMSEC R 2 P RMSEP RPD
1 PLSR None 8 0.645 1.913 0.601 1.885 1.630
2 SNV 9 0.703 1.774 0.680 1.675 1.819
3 MSC 9 0.680 1.813 0.633 1.962 1.699
4 SGS 8 0.640 1.927 0.603 1.882 1.633
5 FD 9 0.751 1.601 0.639 1.905 1.714
6 DT 8 0.683 1.859 0.644 1.679 1.725
图2 不同预处理方法后的鲜食玉米光谱

Fig. 2 Spectra of fresh corn after different pretreatment methods

2.4 特征波长提取

2.4.1 基于CARS的特征波长提取

为了降低无关信息对直链淀粉检测的影响,对预处理后的光谱数据进行特征波长提取。CARS算法基于达尔文进化论的自然选择机制,将各波长变量视为独立个体,通过迭代筛选保留适应度高的光谱特征变量,淘汰低贡献波长26。本研究中,以SNV预处理后的数据为例,使用CARS算法对鲜食玉米光谱数据进行特征提取,将CARS算法的迭代次数设置为70次,由图3a所示,随着迭代次数的增加,入选波长数逐渐减少,剔除了大量无用光谱信息;图3b表示当迭代至22次时,RMSECV达到最低,之后呈现上升趋势;图3c中,表示每个特征波长在不同迭代次数时的回归系数。根据RMSECV最小值对应的迭代次数选择特征波长,共筛选出22个特征波长。该方法不仅可以降低模型的复杂度,还可以削弱噪声影响。
图3 基于CARS算法的鲜食玉米光谱特征波长提取

Fig.3 CARS-based characteristic wavelength selection for fresh corn corn spectroscopy

2.4.2 基于SPA的特征波长提取

SPA是一种多元统计分析方法,适用于特征选择、分类和聚类等任务,该方法通过在低维空间中逐步筛选并保留判别性最强的投影向量,从而完成数据降维和特征提取的目标27。SPA可以去除冗杂信息从而提高预测模型精度28。同样以SNV预处理后的数据为例,SPA算法提取特征波长过程如图4a所示,当特征波长选择个数为13时,对应的RMSE最低,为2.018,此时大量冗杂信息被剔除。特征波长选择分布如图4b所示,由图可知,共筛选出16个特征波长,特征波长主要集中在1 100~ 1 300 nm和1 500~1 700 nm这两个区间。
图4 基于SPA算法的鲜食玉米光谱特征波长提取

Fig. 4 SPA-based characteristic wavelength selection for fresh corn corn spectroscopy

2.5 直链淀粉特征波段预测模型建立

经过CARS和SPA算法特征波长提取之后,为了直观评估其效果,将其与未进行特征提取的、采用SNV预处理的全波段建模方法进行了详细对比,具体对比数据效果如表3所示,可以清晰地观察到,在未进行特征提取的SNV预处理全波段建模情况下,模型在测试集上的R 2 P值为0.680;经过CARS和SPA算法特征波长提取后构建的模型,在测试集上的R 2 P分别达到了0.820和0.697,其中CARS算法效果显著优于SPA算法。与全波段建模相比,“SNV-CARS-PLSR”模型训练集R 2 C、RMSEC、测试集R 2 P、RMSEP、RPD分别为0.826、1.399、0.820、1.081、2.426,其中测试集的R 2 P值提高了14.0%。结果表明,通过特征波段建模在减少模型复杂度的同时也提高了模型的预测精度。模型达到了基本可用状态,但还有很大提升空间。
表3 鲜食玉米直链淀粉特征波段建模数据对比

Table 3 Comparison of amylose characteristic band modeling data in fresh corn

特征提取方法 预处理方法 特征波长数 训练集 测试集
R 2 C RMSEC R 2 P RMSEP RPD
SNV 157 0.703 1.774 0.680 1.675 1.819
CARS SNV 22 0.826 1.399 0.820 1.081 2.426
SPA SNV 16 0.713 1.699 0.697 1.848 1.870
针对“SNV-CARS-PLSR”模型,在构建完成后,将该模型测试集鲜食玉米直链淀粉含量的近红外光谱预测值与通过化学分析方法得到的真实化学值进行了细致的比较分析,具体的对比数据效果如表4所示,可以看出,预测值与化学值之间存在一定的偏差。同时,为了更直观地展示模型的预测效果,图5展示了特征波段预测模型的性能评估结果,采用理化值与预测值的散点图进行可视化表征。横坐标表示实验室测得的化学值,纵坐标对应模型预测值,其中黑色散点代表训练集样本,红色散点代表测试集样本,数据点与该参考线(y = x)的偏离程度直观反映了预测误差的大小。
表4 鲜食玉米直链淀粉含量化学值与预测值对比

Table 4 Comparison of chemical and predicted values of amylose content in fresh corn

样本号 化学值/% 预测值/% 样本号 化学值/% 预测值/%
1 7.55 6.69 10 5.93 7.28
2 8.67 8.64 11 7.36 9.02
3 9.91 8.46 12 9.65 10.18
4 8.93 10.56 13 2.70 2.36
5 8.65 8.74 14 2.13 1.63
6 7.97 8.99 15 4.12 3.12
7 7.08 7.58 16 3.69 2.79
8 7.94 8.24 17 12.11 9.85
9 7.77 8.80 18 8.26 8.81
图5 鲜食玉米直链淀粉“SNV-CARS-PLSR”预测散点图

Fig. 5 Scatter plot of predicted fresh corn amylose "SNV-CARS-PLSR"

3 结论与展望

本研究以145个鲜食玉米样本为研究对象,采用多点采样技术获取样本的近红外光谱数据,比较不同预处理方法对建模效果的影响,并基于PLSR算法构建了全波段和特征波段的直链淀粉含量预测模型,主要研究结果如下。
(1)本研究对比评估了五种光谱预处理方法(SNV、MSC、SGS、FD、DT)对预测模型性能的影响。结果表明,SNV预处理能有效消除鲜食玉米物理特性带来的散射干扰,显著提升模型预测性能,其测试集的 R P 2达到0.680,较原始光谱提高7.9%。
(2)针对鲜食玉米样本含水率对检测的干扰问题,此次试验首先采用SNV和MSC光谱预处理方法,消除由水分引起的散射效应;其次采用SPA和CARS进行特征波长提取,筛选出与直链淀粉特征吸收峰相关的波长点,避开水分特征吸收波段。数据分析结果表明,通过CARS筛选特征波长后构建的预测模型表现最优,其测试集R 2 P提升至0.820,RMSEP降低至1.081,RPD达到2.426,其预测精度较全波段模型提升了14.0%,在消除玉米含水率干扰方面,该模型具有一定优势。
通过多点采集鲜食玉米果穗的光谱数据,此次试验通过SNV预处理结合CARS特征提取所建立的“SNV-CARS-PLSR”模型显著提高了鲜食玉米直链淀粉预测模型的精度,初步实现了鲜食玉米果穗直链淀粉在静止状态下的快速无损检测。相较于玉米籽粒和粉末物料,果穗物料由于呈棒状形态,籽粒之间并带有一定间隙,且表面凹凸不平,给近红外光谱采集带来了较大挑战,这种特征会导致光散射分布不均,并引入噪声;其次对于直链淀粉理化值的检测要经过取样、粉碎、定容、脱脂、显色多个环节,环节较多会引入一定误差。这两个因素导致直链淀粉模型预测精度不是很高,接下来针对建模精度提升方面,课题组将从理化值测量改进和波形降噪方面继续开展直链淀粉含量建模研究。

本研究不存在研究者以及与公开研究成果有关的利益冲突。

[1]
安林, 程乙, 罗上轲, 等. 鲜食糯玉米营养品质及其影响因素研究进展[J]. 山地农业生物学报, 2023, 42(5): 40-45.

AN L, CHENG Y, LUO S K, et al. Research progress on nutritional quality of fresh waxy corn and its influencing factors[J]. Journal of mountain agriculture and biology, 2023, 42(5): 40-45.

[2]
马先红, 张文露, 张铭鉴. 玉米淀粉的研究现状[J]. 粮食与油脂, 2019, 32(2): 4-6.

MA X H, ZHANG W L, ZHANG M J. Research status of corn starch[J]. Cereals & oils, 2019, 32(2): 4-6.

[3]
王珂. 鲜食玉米籽粒营养成分积累与品质形成研究[D]. 合肥: 安徽农业大学, 2024.

WANG K. Study on nutrient accumulation and quality formation of fresh corn grains[D]. Heifei: Anhui Agricultural University, 2024.

[4]
宋伟东, 段洪伟, 刘伟林. 让鲜食玉米成为支柱产业[N]. 农民日报, 2023-01-28(2).

[5]
张明娟, 袁磊, 余秋地, 等. 食用淀粉及其制品鉴别技术研究进展[J]. 食品科技, 2024, 49(9): 341-348.

ZHANG M J, YUAN L, YU Q D, et al. Research progress in identification technology of edible starch and its products[J]. Food science and technology, 2024, 49(9): 341-348.

[6]
TSUCHIKAWA S, MA T, INAGAKI T. Application of near-infrared spectroscopy to agriculture and forestry[J]. Analytical sciences, 2022, 38(4): 635-642.

[7]
YU H W, GUO L L, KHARBACH M, et al. Multi-way analysis coupled with near-infrared spectroscopy in food industry: Models and applications[J]. Foods, 2021, 10(4): ID 802.

[8]
XIE L H, TANG S Q, WEI X J, et al. Simultaneous determination of apparent amylose, amylose and amylopectin content and classification of waxy rice using near-infrared spectroscopy (NIRS)[J]. Food chemistry, 2022, 388: ID 132944.

[9]
ZHANG H Y, WANG X M, WANG F, et al. Rapid prediction of Apparent Amylose, total starch, and crude protein by near-infrared reflectance spectroscopy for foxtail millet (Setaria italica)[J]. Cereal chemistry, 2020, 97(3): 653-660.

[10]
田翔, 秦慧彬, 王君杰, 等. 近红外光谱法快速测定小米品质[J]. 粮食与油脂, 2021, 34(10): 145-148.

TIAN X, QIN H B, WANG J J, et al. Rapid determination of millet quality by near infrared reflectance spectrometry[J]. Cereals & oils, 2021, 34(10): 145-148.

[11]
李文君, 雷荣, 曾艳, 等. 基于近红外光谱技术的不同种皮色大豆种子活力预测模型的构建[J/OL]. 中国油料作物学报, 2025. (2025-05-12)[2025-05-20].

LI W J, LEI R, ZENG Y, et al. Construction of seed vigour prediction models for different seed coat soybean based on near-infrared spectroscopic techniques[J/OL]. Chinese journal of oil crop sciences, 2025. (2025-05-12) [2025-05-20].

[12]
张晓锋, 张亦弛, 宦克为, 等. 基于VSPAI的近红外光谱小麦蛋白质分析方法研究[J]. 长春理工大学学报(自然科学版), 2024, 47(5): 15-21.

ZHANG X F, ZHANG Y C, HUAN K W, et al. Research on near-infrared spectroscopy wheat protein analysis method based on VSPAI[J]. Journal of Changchun university of science and technology (natural science edition), 2024, 47(5): 15-21.

[13]
李粉粉, 王爱霞, 赵晨, 等. 基于高光谱成像技术的鲜烟叶叶位识别方法[J]. 河南农业科学, 2024, 53(2): 144-151.

LI F F, WANG A X, ZHAO C, et al. Identification method of green tobacco leaf positions based on hyperspectral imaging technology[J]. Journal of Henan agricultural sciences, 2024, 53(2): 144-151.

[14]
FAN S X, LI J B, XIA Y, et al. Long-term evaluation of soluble solids content of apples with biological variability by using near-infrared spectroscopy and calibration transfer method[J]. Postharvest biology and technology, 2019, 151: 79-87.

[15]
张永立, 杨光辉, 王美蟠, 等. 鲜食玉米果穗含水率近红外光谱无损检测影响因素[J]. 农业工程学报, 2024, 40(15): 262-270.

ZHANG Y L, YANG G H, WANG M P, et al. Factors affecting the non-destructive detection of water contents in fresh corn cobs by near-infrared spectroscopy[J]. Transactions of the Chinese society of agricultural engineering, 2024, 40(15): 262-270.

[16]
刘玉兵, 曹春信, 刘新华. 双季高粱采后贮藏品质差异分析[J]. 浙江农业科学, 2024, 65(12): 3015-3020.

LIU Y B, CAO C X, LIU X H. Analysis of quality differences in post harvest storage of double season sorghum[J]. Journal of Zhejiang agricultural sciences, 2024, 65(12): 3015-3020.

[17]
魏堂伟, 张津诚, 王晶, 等. 基于改进YOLOv7的茶叶嫩芽识别模型研究[J]. 智能化农业装备学报(中英文), 2024(2): 42-50.

WEI T W, ZHANG J C, WANG J, et al. Study of tea buds recognition and detection based on improved YOLOv7 model[J]. Journal of intelligent agricultural mechanization, 2024(2): 42-50.

[18]
严忠伟, 田喜, 张艺飞, 等. 基于全透射近红外光谱的西瓜不同部位可溶性固形物含量在线检测研究[J]. 光谱学与光谱分析, 2023, 43(6): 1800-1808.

YAN Z W, TIAN X, ZHANG Y F, et al. Online detection of soluble solids content in different parts of watermelons based on full transmission near infrared spectroscopy[J]. Spectroscopy and spectral analysis, 2023, 43(6): 1800-1808.

[19]
陈绍璞, 杜宇, 郑丽娜, 等. 主成分分析结合马氏距离法剔除深静脉血栓红外光谱异常样品[J]. 山东化工, 2023, 52(16): 137-140.

CHEN S P, DU Y, ZHENG L N, et al. Rejection of abnormal deep venous thrombosis infrared SpectraSamples by principal component analysis combined with martingale distance method[J]. Shandong chemical industry, 2023, 52(16): 137-140.

[20]
王世芳, 韩平, 崔广禄, 等. SPXY算法的西瓜可溶性固形物近红外光谱检测[J]. 光谱学与光谱分析, 2019, 39(3): 738.

WANG S F, HAN P, CUI G L, et al. The NIR detection research of soluble solid content in watermelon based on SPXY algorithm[J]. Spectroscopy and spectral analysis, 2019, 39(3): 738.

[21]
常肖, 王一潇, 赵娜. 甘草提取物中辅料乳糖、MCC的近红外快速定量分析[J]. 石河子大学学报(自然科学版), 2021, 39(4): 521-528.

CHANG X, WANG Y X, ZHAO N. Rapid quantitative analysis of lactose and microcrystalline cellulose of auxiliary materials in Glycyrrhiza extract by near infrared spectroscopy[J]. Journal of Shihezi university (natural science), 2021, 39(4): 521-528.

[22]
LIU W H, HAN Y N, WANG N, et al. Apple sugar content non-destructive detection device based on near-infrared multi-characteristic wavelength[J]. Journal of physics: Conference series, 2022, 2221(1): ID 012012.

[23]
叶大鹏, 陈晨, 李慧琳, 等. 基于深度卷积生成式对抗网络的菌草丙二醛含量可见/近红外光谱反演[J]. 智慧农业(中英文), 2023, 5(3): 132-141.

YE D P, CHEN C, LI H L, et al. Visible/NIR spectral inversion of malondialdehyde content in JUNCAO based on deep convolutional gengrative adversarial network[J]. Smart agriculture, 2023, 5(3): 132-141.

[24]
刘燕德, 崔惠桢, 李斌, 等. 基于可见-近红外光谱技术的苹果糖度光照位置优化研究[J]. 光谱学与光谱分析, 2022, 42(11): 3373-3379.

LIU Y D, CUI H Z, LI B, et al. Study on optimization of apple sugar degree and illumination position based on near-infrared technology[J]. Spectroscopy and spectral analysis, 2022, 42(11): 3373-3379.

[25]
鲍一丹, 吕阳阳, 朱红艳, 等. 陈皮年份的高光谱技术鉴别研究[J]. 光谱学与光谱分析, 2017, 37(6): 1866-1871.

BAO Y D, LYU Y Y, ZHU H Y, et al. Identification and classification of different producing years of dried tangerine using hyperspectral technique with chemometrics models[J]. Spectroscopy and spectral analysis, 2017, 37(6): 1866-1871.

[26]
魏海峰, 时学双, 党锡强, 等. 油莎豆含油率的近红外光谱检测模型研究[J]. 山东农业科学, 2025, 57(1): 166-173.

WEI H F, SHI X S, DANG X Q, et al. Study on near infrared spectroscopy detection model for oil content of Cyperus esculentus tubers[J]. Shandong agricultural sciences, 2025, 57(1): 166-173.

[27]
贾文珅, 吕浩林, 张上, 等. 利用便捷式可见-近红外光谱仪和机器学习分辨霉变小麦及霉变程度[J]. 智慧农业(中英文), 2024, 6(1): 89-100.

JIA W S, LYU H L, ZHANG S, et al. Using a portable visible-near infrared spectrometer and machine learning to distinguish and quantify mold contamination in wheat[J]. Smart agriculture, 2024, 6(1): 89-100.

[28]
蒋沛含, 杨晓楠, 杨晨旭, 等. 基于偏最小二乘回归的谷子冠层氮素含量高光谱估测研究[J]. 中国农业科技导报, 2024, 26(6): 91-101.

JIANG P H, YANG X N, YANG C X, et al. Estimation of nitrogen content in millet canopy based on multi parameter partial least squares model[J]. Journal of agricultural science and technology, 2024, 26(6): 91-101.

Outlines

/