0 Introduction
1 Materials and methods
1.1 Data collection
Fig. 1 Composition diagram of agricultural inspection robot system |
Fig. 2 Diagram of plantation area plotted by Unity software |
Table 1 Parameters of temperature recorder of data preprocessing study |
| Parameter | Specification |
|---|---|
| Measurement range | -20~80 ℃ |
| Measurement accuracy | ±0.5 ℃ |
| Response time | ≤1 s |
| Operating environment | -40~85 ℃, Humidity ≤95%RH |
| Data storage frequency | Every 10 minutes |
1.2 VMD-LTSM
1.2.1 LTSM
1.2.2 VMD time series data decomposition and reconstruction
Fig. 3 Results of VMD decomposition |
Fig. 4 Flowchart of reconstruction with K-means |
Fig. 5 Results of reconstruction with K-means |
1.3 RIME2-VMD-LSTM model construction
Fig. 6 Framework of RIME2-VMD-LSTM model |
1.3.1 VMD-RIME-LSTM
Fig. 7 Flowchart of VMD-RIME-LSTM model |
Fig. 8 Flowchart of optimizing LSTM parameters with RIME algorithm |
1.3.2 RIME-VMD
2 Results and analysis
2.1 Evaluation indicators and environmental settings
2.2 Data smoothing analysis
Table 2 Results of ADF tested of data preprocessing study |
| Inspection parameters | Inspection results | 1% Threshold | 5% Threshold | 10% Threshold | |
|---|---|---|---|---|---|
| Kiwi canopy temperature | -14.401 | 0.000 0 | -3.960 | -3.410 | -3.120 |
| Grape canopy temperature | -11.700 | 0.000 0 | -3.430 | -2.860 | -2.570 |
Fig. 9 Tendency of canopy temperature |
2.3 Comparative experiments
2.3.1 VMD-LSTM base model
Table 3 Prediction results of decomposition combination models with L in=8 of model forecasting study |
| Number of neurons/cell | LSTM | EMD-LSTM | CEEMDAN-LSTM | |||
|---|---|---|---|---|---|---|
| MSE/℃ | MAE/℃ | MSE/℃ | MAE/℃ | MSE/℃ | MAE/℃ | |
| 50 | 0.479 0 | 0.535 0 | 0.215 0 | 0.303 5 | 0.216 5 | 0.280 5 |
| 100 | 0.456 5 | 0.473 0 | 0.148 0 | 0.278 0 | 0.329 0 | 0.348 0 |
| 150 | 0.909 5 | 0.786 5 | 0.188 5 | 0.304 0 | 0.169 5 | 0.272 0 |
| 200 | 0.327 0 | 0.389 0 | 0.249 5 | 0.310 5 | 0.215 5 | 0.302 5 |
| 250 | 0.405 5 | 0.447 5 | 0.233 0 | 0.326 5 | 0.289 5 | 0.337 0 |
| Number of neurons/cell | VMD-LSTM | SGMD-LSTM | TVF-EMD-LSTM | |||
| MSE/℃ | MAE/℃ | MSE/℃ | MAE/℃ | MSE/℃ | MAE/℃ | |
| 50 | 0.101 5 | 0.192 5 | 0.185 0 | 0.262 5 | 0.178 5 | 0.242 5 |
| 100 | 0.095 0 | 0.195 0 | 0.464 0 | 0.380 0 | 0.186 5 | 0.261 5 |
| 150 | 0.100 5 | 0.203 0 | 0.675 5 | 0.432 5 | 0.175 0 | 0.252 5 |
| 200 | 0.127 0 | 0.213 0 | 0.409 5 | 0.398 0 | 0.205 0 | 0.299 0 |
| 250 | 0.114 5 | 0.225 0 | 0.261 5 | 0.335 0 | 0.209 5 | 0.299 5 |
|
Table 4 Prediction results of decomposition combination models with L in=16 of model forecasting study |
| Number of neurons/cell | LSTM | EMD-LSTM | CEEMDAN-LSTM | |||
|---|---|---|---|---|---|---|
| MSE/℃ | MAE/℃ | MSE/℃ | MAE/℃ | MSE/℃ | MAE/℃ | |
| 50 | 0.563 0 | 0.548 5 | 0.336 5 | 0.402 5 | 0.318 0 | 0.325 0 |
| 100 | 0.414 0 | 0.427 5 | 0.270 0 | 0.368 5 | 0.487 0 | 0.481 0 |
| 150 | 0.568 0 | 0.529 0 | 0.481 0 | 0.495 5 | 0.367 0 | 0.427 5 |
| 200 | 0.323 5 | 0.405 5 | 0.380 5 | 0.477 0 | 0.421 0 | 0.425 0 |
| 250 | 0.502 0 | 0.477 5 | 0.601 5 | 0.510 5 | 0.380 0 | 0.413 0 |
| Number of neurons/cell | VMD-LSTM | SGMD-LSTM | TVF-EMD-LSTM | |||
| MSE/℃ | MAE/℃ | MSE/℃ | MAE/℃ | MSE/℃ | MAE/℃ | |
| 50 | 0.273 5 | 0.325 5 | 0.282 5 | 0.369 5 | 0.416 5 | 0.415 5 |
| 100 | 0.282 0 | 0.390 5 | 0.437 0 | 0.475 5 | 0.348 0 | 0.440 5 |
| 150 | 0.257 0 | 0.320 0 | 0.930 5 | 0.604 0 | 0.273 5 | 0.370 0 |
| 200 | 0.250 0 | 0.326 5 | 0.713 5 | 0.543 5 | 0.267 0 | 0.357 0 |
| 250 | 0.278 0 | 0.325 0 | 0.662 5 | 0.524 5 | 0.249 0 | 0.315 5 |
|
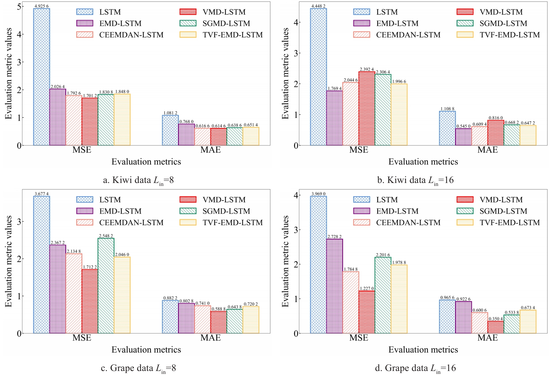
Fig. 10 Comparison chart of the average crease in evaluation metrics of model performance comparison study |
2.3.2 RIME-LSTM optimization
Table 5 Predicted results with different optimization algorithms of model forecasting study |
| Temp | comparison models | Next 1 hour | Next 2 hours | Next 3 hours | Average | ||||
|---|---|---|---|---|---|---|---|---|---|
| RMSE/℃ | MAE/℃ | RMSE/℃ | MAE/℃ | RMSE/℃ | MAE/℃ | RMSE/℃ | MAE/℃ | ||
| Kiwi canopy | VMD-PSO-LSTM | 1.498 0 | 0.943 8 | 2.958 7 | 1.818 0 | 4.251 3 | 2.604 3 | 2.902 7 | 1.788 7 |
| VMD-SSA-LSTM | 1.478 2 | 0.903 2 | 2.912 4 | 1.756 9 | 4.170 3 | 2.502 7 | 2.853 6 | 1.720 9 | |
| VMD-GWO-LSTM | 1.481 3 | 0.915 8 | 2.897 2 | 2.302 2 | 4.186 4 | 2.549 6 | 2.855 0 | 1.922 5 | |
| VMD-SAO-LSTM | 1.504 5 | 0.919 1 | 3.041 4 | 1.850 3 | 4.397 6 | 2.680 5 | 2.981 2 | 1.816 6 | |
| VMD-RIME-LSTM | 1.465 8 | 0.900 7 | 2.873 9 | 1.732 1 | 4.196 3 | 2.522 8 | 2.845 3 | 1.718 5 | |
| Grapes canopy | VMD-PSO-LSTM | 1.371 2 | 0.882 4 | 2.620 0 | 1.770 5 | 3.685 6 | 2.581 5 | 2.558 9 | 1.744 8 |
| VMD-SSA-LSTM | 1.401 1 | 0.879 7 | 2.580 0 | 1.774 3 | 3.667 4 | 2.570 0 | 2.549 5 | 1.741 3 | |
| VMD-GWO-LSTM | 1.418 7 | 0.902 8 | 2.664 6 | 1.756 5 | 3.744 4 | 2.514 0 | 2.609 2 | 1.724 4 | |
| VMD-SAO-LSTM | 1.357 5 | 0.876 6 | 2.564 9 | 1.733 8 | 3.632 2 | 2.526 8 | 2.518 2 | 1.712 4 | |
| VMD-RIME-LSTM | 1.378 6 | 0.897 3 | 2.611 8 | 1.731 0 | 3.635 7 | 2.459 3 | 2.542 0 | 1.695 9 | |
|
2.3.3 RIME-VMD optimization
Fig. 11 Time-domain graph and frequency-domain graph of VMD decomposition |
Fig. 12 Convergence curve of fitness values |
Fig. 13 Time and frequency domain plots of RIME-VMD decomposition |
2.4 Ablation experiment
Fig. 14 Prediction performance chart of different models of ablation study |
Table 6 Results of ablation experiment of model forecasting study |
| Temp | Comparison models | Next 1 hour | Next 2 hours | Next 3 hours | ||||||
|---|---|---|---|---|---|---|---|---|---|---|
| RMSE/℃ | MAE/℃ | R 2 | RMSE/℃ | MAE/℃ | R 2 | RMSE/℃ | MAE/℃ | R 2 | ||
| Kiwi canopy | LSTM | 1.926 3 | 1.195 8 | 0.829 5 | 2.819 4 | 1.871 4 | 0.731 9 | 4.717 0 | 2.564 3 | 0.412 1 |
| VMD-LSTM | 1.734 1 | 1.200 3 | 0.876 5 | 2.805 2 | 1.760 6 | 0.769 4 | 4.437 4 | 2.976 8 | 0.491 2 | |
| RIME-LSTM | 1.933 3 | 1.234 3 | 0.849 1 | 2.842 6 | 1.930 9 | 0.890 1 | 4.196 3 | 2.522 8 | 0.477 7 | |
| RIME-VMD-LSTM | 1.708 5 | 1.174 5 | 0.879 8 | 3.205 2 | 2.125 6 | 0.756 9 | 4.548 9 | 3.005 0 | 0.347 7 | |
| VMD-RIME-LSTM | 1.465 8 | 0.937 9 | 0.911 7 | 2.912 4 | 1.756 9 | 0.761 6 | 4.096 6 | 2.613 6 | 0.509 6 | |
| Proposed model | 1.446 6 | 0.900 7 | 0.963 9 | 1.734 1 | 2.116 0 | 0.906 3 | 3.678 9 | 2.547 1 | 0.655 9 | |
| Grape canopy | LSTM | 1.860 6 | 1.259 0 | 0.841 7 | 2.997 6 | 2.099 4 | 0.648 7 | 4.038 2 | 2.926 3 | 0.425 3 |
| VMD-LSTM | 1.610 8 | 1.194 9 | 0.923 2 | 2.734 0 | 1.936 2 | 0.663 5 | 3.753 1 | 2.611 0 | 0.465 9 | |
| RIME-LSTM | 1.810 8 | 1.250 5 | 0.884 8 | 2.772 0 | 1.837 6 | 0.653 0 | 3.937 5 | 2.666 9 | 0.299 9 | |
| RIME-VMD-LSTM | 1.574 5 | 1.125 0 | 0.888 1 | 2.686 4 | 1.852 2 | 0.674 1 | 3.731 2 | 2.598 4 | 0.371 4 | |
| VMD-RIME-LSTM | 1.465 8 | 0.924 6 | 0.914 4 | 2.611 8 | 1.731 0 | 0.692 9 | 4.196 3 | 2.522 8 | 0.476 7 | |
| Proposed model | 1.378 6 | 0.897 3 | 0.973 0 | 1.810 8 | 1.250 5 | 0.914 8 | 1.810 8 | 1.250 5 | 0.644 8 | |
|
Table 7 Average results of ablation experiments on two kinds of datasets of model forecasting study |
| Comparison models | Next 1 hour | Next 2 hours | Next 3 hours | ||||||
|---|---|---|---|---|---|---|---|---|---|
| RMSE/℃ | MAE/℃ | R 2 | RMSE/℃ | MAE/℃ | R 2 | RMSE/℃ | MAE/℃ | R 2 | |
| LSTM | 1.893 5 | 1.227 4 | 0.835 6 | 2.908 5 | 1.985 4 | 0.690 3 | 4.377 6 | 2.745 3 | 0.418 7 |
| VMD-LSTM | 1.672 4 | 1.197 6 | 0.899 8 | 2.769 6 | 1.848 4 | 0.716 5 | 4.095 2 | 2.793 9 | 0.478 6 |
| RIME-LSTM | 1.872 1 | 1.242 4 | 0.867 0 | 2.807 3 | 1.884 2 | 0.771 6 | 4.066 9 | 2.594 8 | 0.388 8 |
| RIME-VMD-LSTM | 1.641 5 | 1.149 8 | 0.883 9 | 2.945 8 | 1.988 9 | 0.715 5 | 4.140 0 | 2.801 7 | 0.359 5 |
| VMD-RIME-LSTM | 1.465 8 | 0.931 3 | 0.913 1 | 2.762 1 | 1.744 0 | 0.727 3 | 4.146 4 | 2.568 2 | 0.493 2 |
| Proposed model | 1.412 6 | 0.899 0 | 0.968 4 | 1.772 4 | 1.683 2 | 0.910 5 | 2.744 9 | 1.898 8 | 0.650 4 |
|
Table 8 Increase/decrease of indicators between the proposed model and the comparative models of model forecasting study |
| Comparison models | Next 1 hour | Next 2 hours | Next 3 hours | ||||||
|---|---|---|---|---|---|---|---|---|---|
| RMSE/% | MAE/% | R 2/% | RMSE/% | MAE/% | R 2/% | RMSE/% | MAE/% | R 2/% | |
| LSTM | -25.39 | -26.75 | 15.90 | -39.06 | -15.22 | 31.91 | -37.30 | -30.84 | 55.33 |
| VMD-LSTM | -15.53 | -24.93 | 7.62 | -36.00 | -8.93 | 27.09 | -32.97 | -32.04 | 35.90 |
| RIME-LSTM | -24.54 | -27.64 | 11.71 | -36.86 | -10.67 | 18.01 | -32.51 | -26.82 | 67.28 |
| RIME-VMD-LSTM | -13.94 | -21.81 | 9.56 | -39.83 | -15.37 | 27.26 | -33.70 | -32.23 | 80.89 |
| VMD-RIME-LSTM | -3.63 | -3.46 | 6.06 | -35.83 | -3.48 | 25.20 | -33.80 | -26.07 | 31.87 |
2.5 Prediction test for different noise environments
Table 9 Comparison of indicators between the proposed model and the comparative models (kiwi) |
| Models | Original data | Uniform noise | Gaussian noise | ||||||
|---|---|---|---|---|---|---|---|---|---|
| RMSE/℃ | MAE/℃ | R 2 | RMSE/℃ | MAE/℃ | R 2 | RMSE/℃ | MAE/℃ | R 2 | |
| CNN | 0.497 2 | 0.316 2 | 0.990 0 | 3.347 3 | 2.794 1 | 0.657 6 | 5.548 9 | 4.416 5 | 0.372 4 |
| GRU | 0.946 0 | 0.586 6 | 0.963 7 | 3.669 9 | 3.017 0 | 0.588 4 | 7.056 5 | 5.617 2 | -0.015 0 |
| LSTM | 0.529 8 | 0.457 0 | 0.978 5 | 13.896 2 | 3.034 6 | 0.575 3 | 6.320 2 | 5.138 7 | 0.237 4 |
| ConvLSTM | 1.150 7 | 1.521 4 | 0.798 0 | 4.003 4 | 3.246 3 | 0.510 2 | 7.170 9 | 5.696 1 | -0.048 1 |
| PC-LSTM | 0.779 1 | 0.601 0 | 0.975 4 | 4.050 9 | 3.271 2 | 0.498 5 | 7.592 3 | 6.008 1 | -0.174 9 |
| Proposed model | 0.360 1 | 0.254 3 | 0.994 7 | 1.501 0 | 1.214 2 | 0.929 7 | 3.885 5 | 3.080 7 | 0.678 9 |
|
Table 10 Comparison of indicators between the proposed model and the comparative models (grape) |
| Models | Original data | Uniform noise | Gaussian noise | ||||||
|---|---|---|---|---|---|---|---|---|---|
| RMSE/℃ | MAE/℃ | R 2 | RMSE/℃ | MAE/℃ | R 2 | RMSE/℃ | MAE/℃ | R 2 | |
| CNN | 0.525 4 | 0.344 4 | 0.987 8 | 3.999 9 | 3.230 0 | 0.486 5 | 5.860 3 | 4.663 9 | 0.297 0 |
| GRU | 1.092 1 | 0.730 6 | 0.947 2 | 4.221 0 | 3.409 7 | 0.428 2 | 7.484 9 | 6.001 6 | -0.146 8 |
| LSTM | 3.321 1 | 1.029 0 | 0.853 1 | 18.878 4 | 3.516 5 | 0.394 1 | 54.543 2 | 5.919 4 | -0.116 5 |
| ConvLSTM | 1.646 0 | 1.145 8 | 0.880 2 | 6.559 2 | 5.034 7 | -0.380 9 | 7.622 9 | 6.137 6 | -0.189 5 |
| PC-LSTM | 0.889 3 | 0.669 8 | 0.965 0 | 4.778 1 | 3.864 1 | 0.267 3 | 8.596 2 | 6.878 1 | -0.512 7 |
| Proposed model | 0.287 0 | 0.185 7 | 0.996 3 | 1.029 4 | 0.817 9 | 0.961 3 | 2.065 0 | 1.656 8 | 0.903 4 |
|





