Welcome to Smart Agriculture 中文

Smart Agriculture

   

A Bi-LSTM Prediction Method for Apple First Flowering Date Based on Enhanced Time-Series Temperature Features

LIU Enqi1,2, LIU Miao1, WANG Tuo1,2, ZHU Yaohui3, CHEN Riqiang2, XU Bo2, GAO Meiling1, ZHANG Jing1, YANG Yun1, YANG Guijun1,2()   

  1. 1. School of Geological Engineering and Surveying, Chang'an University, Xi'an 710054, China
    2. Key Laboratory of Agricultural Remote Sensing Mechanism and Quantitative Remote Sensing, Ministry of Agriculture and Rural Affairs/Information Technology Research Center, Beijing Academy of Agriculture and Forestry Sciences, Beijing 100097, China
    3. College of Agricultural Engineering, Jiangsu University, Zhenjiang 212013, China
  • Received:2025-10-30 Online:2026-01-23
  • Foundation items:National Natural Science Foundation of China(42171303)
  • About author:

    LIU Enqi, E-mail:

  • corresponding author:
    YANG Guijun, E-mail:

Abstract:

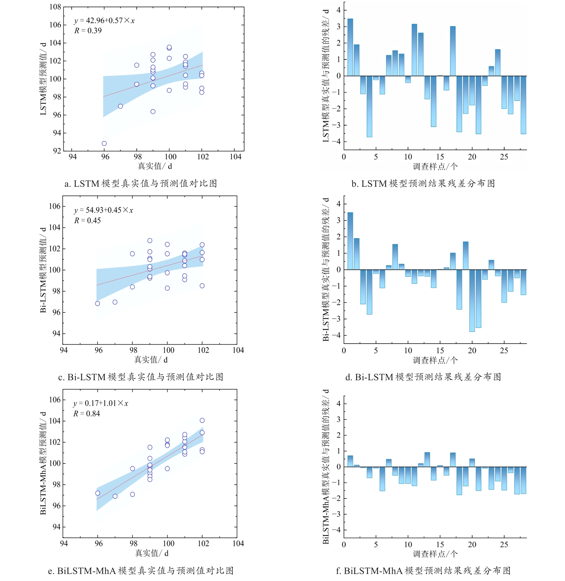
[Objective] The first flowering date of apples is a key phenological stage in the annual growth cycle of fruit trees. Its occurrence timing is directly associated with pollination efficiency, fruit set rate, and subsequent fruit development, and it also serves as an important basis for orchard management practices, including flower and fruit thinning, pest and disease control, as well as risk early warning and emergency management for low-temperature frost events during the flowering period. Existing studies still have room for improvement in the fine-scale extraction of temperature time-series information and in the representation of model adaptability across different spatial locations. Therefore, this study aimed to develop a prediction method for the first flowering date of apples that can effectively characterize time-varying temperature patterns and achieve regional adaptability, thereby providing more reliable technical support for refined orchard management and disaster prevention. [Methods] A deep learning–based forecasting framework for predicting the first flowering date of apples was developed based on observation sites in Luochuan County, Shaanxi Province. First, daily near-surface air temperature (NSAT) data from 2019 to 2021 were collected for the period from apple harvest to the subsequent flowering season in the study area, including daily maximum, mean, and minimum temperatures. In addition, elevation, latitude, and longitude were introduced as static geographic factors, forming a combined input composed of dynamic temperature sequences and static spatial attributes. Second, in terms of model design, a bidirectional long short-term memory network (Bi-LSTM) was employed as the temporal encoder to learn bidirectional dependencies within the temperature time series. On this basis, a customized multi-head attention (MHA) mechanism was integrated, consisting of a local dependency head, a global trend head, and a cumulative feature head, which were designed to represent short-term pre-flowering temperature fluctuations, overall temperature trends, and cumulative temperature effects, respectively. This configuration enhanced the extraction of time-varying information across multiple temporal scales. The attention outputs were then fused with the static geographic factors, and the predicted first flowering date was generated through a regression layer, enabling regionally adaptive prediction. To ensure comparability of results, LSTM and Bi-LSTM models were simultaneously constructed as baseline models using identical data preprocessing and training procedures.Third, Bayesian optimization was applied for automatic hyperparameter tuning, during which key parameters—including learning rate, number of network layers, number of hidden units, regularization terms, and optimizers—were systematically searched, and the optimal configuration was selected based on validation performance. Finally, a cross-year validation strategy was adopted to evaluate model generalization ability: Data from 2019 to 2021 were used as the modeling dataset (training and validation), while the observed first flowering date in 2022 served as an independent test dataset. The predictive performance of all models was evaluated using three widely recognized metrics: root mean square error (RMSE), mean absolute error (MAE), and the correlation coefficient (R). [Results and Discussion] The proposed model achieved an RMSE of 1.34 d, a MAE of 1.13 d, and the R of 0.84 on the test dataset, with most prediction errors concentrated within a range of 0–2 d. Validation results indicated that the proposed approach was capable of providing stable predictions approximately 15–20 d in advance within the study area. Further comparative analysis demonstrated that the Bi-LSTM architecture more effectively exploited both forward and backward dependencies in the pre-flowering temperature time series, thereby offering a more stable temporal representation for regression-based prediction of the first flowering date. Building upon this structure, the introduction of three attention heads—the local dependency head, the global trend head, and the cumulative feature head—enabled the model to more explicitly distinguish and utilize short-term fluctuations, stage-wise trends, and cumulative temperature effects. This targeted extraction of multi-scale time-varying information contributed to reduced prediction errors and improved overall prediction accuracy. Ablation experiments involving static geographic factors further verified the necessity of the spatial adaptability component. When elevation was removed, the RMSE increased from 1.34 d to 1.45 d. Removing latitude and longitude led to a larger increase in RMSE to 2.54 d, and when both elevation and geographic coordinates were excluded, the RMSE further rose to 2.69 d accompanied by a decrease in correlation. These results indicated that geographic factors provided effective spatial constraints, which supported the learning of location-specific phenological responses across different sampling sites. In addition, spatial prediction maps revealed that the first flowering date in the study area exhibited a gradient distribution with respect to elevation to a certain extent. This spatial pattern was consistent with the modeling rationale of incorporating geographic factors into a unified prediction framework. [Conclusion] This study proposes a deep learning-based prediction method for the first flowering date of apples that integrates multi-dimensional temperature features, a multi-head attention mechanism, and geographic factors. The proposed method achieves relatively high prediction accuracy in cross-year forecasting and enables spatially adaptive prediction of the first flowering date of apples. These findings provide a new data-driven technical pathway for refined prediction of apple flowering phenology and offer important technical support for orchard flowering management, frost damage prevention, and agricultural production decision-making.

Key words: near-surface air temperature, multi-head attention, geographic factors, Bi-LSTM, the first flowering date of apples

CLC Number: