Welcome to Smart Agriculture 中文

Smart Agriculture ›› 2025, Vol. 7 ›› Issue (6): 174-184.doi: 10.12133/j.smartag.SA202508024

• Special Issue--Remote Sensing + AI Empowering the Modernization of Agriculture and Rural Areas • Previous Articles     Next Articles

Remote Sensing Monitoring Method of Cropping Index in Typical Open-Field Vegetable Production Areas

ZHANG Yunxiang, WU Xuequn(), HE Yonglin, MA Junwei   

  1. Faculty of Land Resources Engineering, Kunming University of Science and Technology, Kunming 650093, China
  • Received:2025-08-26 Online:2025-11-30
  • Foundation items:National Natural Science Foundation of China(42261074,42464001)
  • About author:

    ZHANG Yunxiang, E-mail:

  • corresponding author:
    WU Xuequn, E-mail:

Abstract:

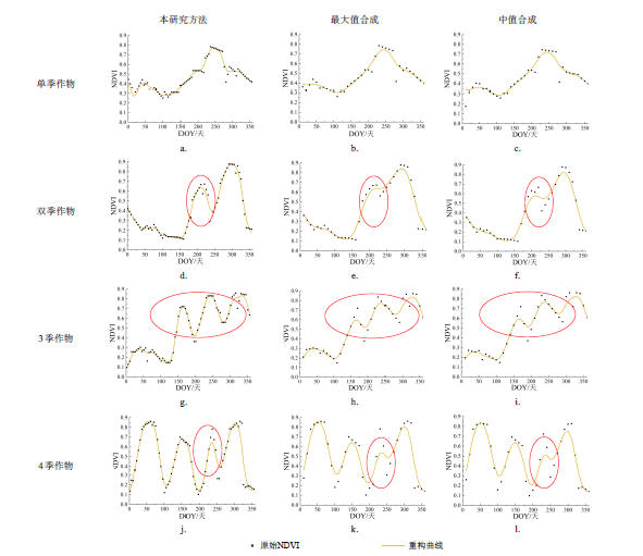
Objective Most existing studies on cropping index extraction have primarily focused on cereal crops, whereas investigations targeting vegetable-based cropping systems remain relatively limited. Current national-scale cropping index products are largely designed for major cereal-producing regions, with model parameters calibrated according to the phenological characteristics and growth cycles of cereal crops. Such parameterization neglects the distinctive multi-season rotation patterns of open-field vegetable cultivation, leading to reduced accuracy in capturing the actual cropping dynamics of vegetable-growing areas. Consequently, these limitations hinder a comprehensive understanding of cropland utilization characteristics in regions characterized by intensive vegetable production. This study aims to improve the extraction method of the cropping index for vegetable cultivation systems and to reveal the characteristics of cropland use in typical regions with intensive vegetable multiple cropping. Methods Sentinel-2 MSI surface reflectance (SR) data released by the European space agency (ESA) was employed. Greedy algorithm was used to identify the optimal grid and orbit combination (47QRG, 61) covering Tonghai county, Yunnan Province. Based on this configuration, a total of 362 images acquired from 2020 to 2024 were compiled to construct a 5-day, 10 m spatial resolution time series. The normalized difference vegetation index (NDVI) time series was smoothed and reconstructed using the Whittaker smoothing (WS) method. The cropland extent was defined using the cropland mask from the GLC_FCS10 land cover dataset. Active croplands and greenhouse-covered areas were further identified using the vegetation-soil-pigment indices and synthetic-aperture radar (SAR) time-series images (VSPS) and the advanced plastic greenhouse index (APGI). Non-active croplands and greenhouse areas were excluded to refine the open-field cropland boundaries. Subsequently, the second-order difference method was applied to detect NDVI peaks in the reconstructed time series, with rule-based constraints used to eliminate false peaks. The number of valid peaks per pixel was then used to calculate the annual cropping index of Tonghai county from 2020 to 2024, and its spatial distribution and spatiotemporal variations were analyzed. Results and Discussions Compared with conventional 10-day median or maximum value compositing approaches, the time-series reconstruction based on specific grid and orbit combinations provides a more accurate representation of crop growth dynamics and peak patterns. Validation using 338 ground samples of cropping index obtained from field surveys in 2024 demonstrated an overall accuracy of 89.94%, a Kappa coefficient of 0.84, mean absolute error (MAE) of 0.11, and root mean square error (RMSE) of 0.36, indicating satisfactory reliability of the extracted results. From 2020 to 2024, the average cropping indices of croplands in Tonghai county were 221.45%, 217.80%, 275.37%, 232.41%, and 237.50%, respectively, reflecting a generally high level of land-use intensity. In 2020, 2021, 2023, and 2024, double cropping systems dominated, with triple cropping being secondary, whereas in 2022, triple cropping became predominant. Multi-season cropping (≥3 seasons) was mainly concentrated along the urban zones adjacent to Qilu lake, where abundant water resources provide favorable conditions for open-field vegetable cultivation. Interannual variations in the cropping index were largely driven by the alternation between double- and triple-cropping systems. Specifically, from 2020 to 2021, the cropping index decreased by 3.67%; cropland areas with decreased, unchanged, and increased indices accounted for 31.08%, 40.23%, and 28.69% of the total cropland area, respectively, with 10.45% of croplands shifting from triple to double cropping. From 2021 to 2022, the index increased substantially by 57.57%; decreased, unchanged, and increased areas accounted for 13.79%, 33.02%, and 53.18%, respectively, with 17.60% of croplands converting from double to triple cropping. Between 2022 and 2023, the index decreased by 42.96%, with corresponding area proportions of 47.96%, 35.06%, and 16.99%, and 16.62% of croplands shifting from triple to double cropping. From 2023 to 2024, the index slightly increased by 5.09%, with 27.49%, 39.19%, and 33.32% of croplands showing decreases, stability, and increases, respectively; 11.21% of croplands converted from double to triple cropping. Overall, the interannual variations were mainly influenced by the mutual transitions between double- and triple-cropping systems. Conclusions The results provide valuable theoretical and technical references for cropland resource management, optimization of regional vegetable production, and the promotion of sustainable agricultural development in Tonghai county.

Key words: cropping intensity, Whittaker smoothing, time-series curve construction, vegetable cropping system, active cropland, spatiotemporal dynamics

CLC Number: