Smart Agriculture ›› 2026, Vol. 8 ›› Issue (1): 156-166.doi: 10.12133/j.smartag.SA202509015
• Information Processing and Decision Making • Previous Articles Next Articles
WU Zhangbin1,2,3(
), HE Ning3, WU Yandong3, GUO Xinyu1,3, WEN Weiliang1,2,3(
)
Received:2025-09-05
Online:2026-01-30
Foundation items:The Science and Technology Project of the Ministry of Agriculture and Rural Affairs
corresponding author:
CLC Number:
WU Zhangbin, HE Ning, WU Yandong, GUO Xinyu, WEN Weiliang. Point Cloud Data-driven Methods for Estimating Maize Leaf Biomass[J]. Smart Agriculture, 2026, 8(1): 156-166.
Add to citation manager EndNote|Ris|BibTeX
URL: https://www.smartag.net.cn/EN/10.12133/j.smartag.SA202509015
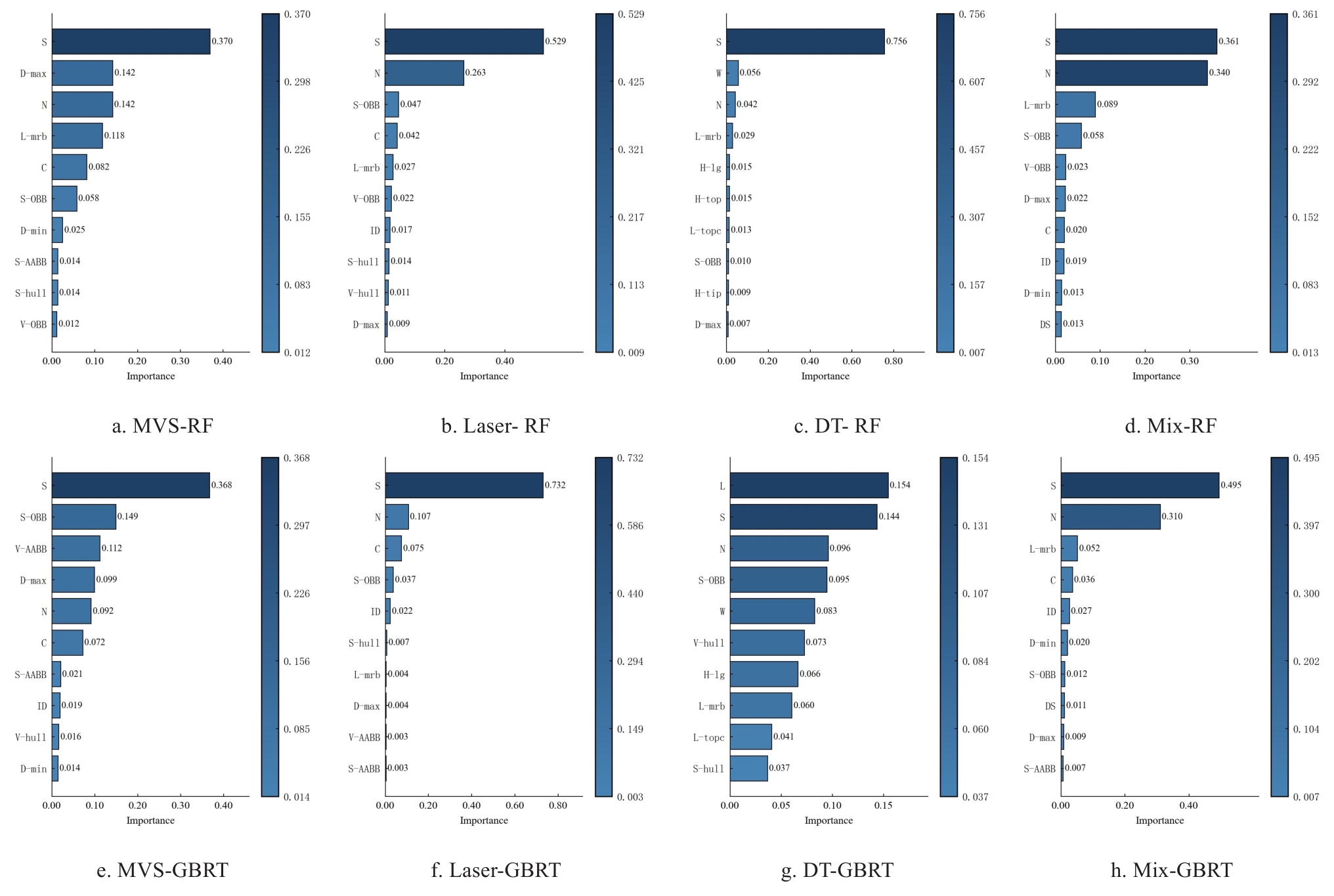
Table 1
Feature extraction of maize leaves
| 特征 | 变量 | 简介 | Laser | MVS | DT |
|---|---|---|---|---|---|
| data source | DS | 数据来源 | ○ | ○ | ○ |
| leaf_ID | ID | 自下而上叶片的顺序 | ● | ● | ● |
| cultivar | C | 品种 | ● | ● | ● |
| leaf_growth_height | H lg | 叶片基部距地面高度 | ○ | ○ | ● |
| leaf_angle | θ | 叶倾角 | ○ | ○ | ● |
| leaf_azimuth | α | 方位角 | ○ | ○ | ● |
| leaf_length | L | 叶片长度 | ○ | ○ | ● |
| leaf_width | W | 叶片平均宽度 | ○ | ○ | ● |
| top_is_tip | TiT | 叶顶与叶尖高度是否相等 | ○ | ○ | ● |
| leaf_top_height | H top | 叶片顶部距地面高度 | ○ | ○ | ● |
| leaf_top_level_length | L topl | 叶片顶部距茎水平长度 | ○ | ○ | ● |
| leaf_tip_height | H tip | 叶片尖部距地面高度 | ○ | ○ | ● |
| leaf_tip_level_length | L tipl | 叶片尖部距茎水平长度 | ○ | ○ | ● |
| Leaf_area | S | 叶面积(网格面积) | ● | ● | ● |
| Leaf_top_curve_length | L topc | 叶片基部距叶片最高点水平长度 | ○ | ○ | ● |
| number | N | 点云中的点个数 | ● | ● | ● |
| obb_volume | V OBB | 紧密包裹点云且方向可旋转的最小长方体体积 | ● | ● | ● |
| obb_area | S OBB | 紧密包裹点云且方向可旋转的最小长方体表面积 | ● | ● | ● |
| AABB_volume | V AABB | 与坐标轴平行的最小长方体体积 | ● | ● | ● |
| AABB_area | S AABB | 与坐标轴平行的最小长方体表面积 | ● | ● | ● |
| MRB_length | L mrb | 最小外包盒对角线长度 | ● | ● | ● |
| max_distance | D max | 点云中的点到其质心的最大距离 | ● | ● | ● |
| min_distance | D min | 点云中的点到其质心的最小距离 | ● | ● | ● |
| hull_volume | V hull | 点云的最小凸多面体的体积 | ● | ● | ● |
| hull_area | S hull | 点云的最小凸多面体的表面积 | ● | ● | ● |
Table 2
Prediction accuracy of maize leaf biomass
| 方法 | Laser | DT | ||||||
|---|---|---|---|---|---|---|---|---|
| MAE/g | MAPE/% | R 2 | RMSE/g | MAE/g | MAPE/% | R 2 | RMSE/g | |
| RF | 0.14 | 8.54 | 0.93 | 0.19 | 0.31 | 21.04 | 0.83 | 0.43 |
| GBRT | 0.10 | 6.21 | 0.96 | 0.14 | 0.26 | 17.41 | 0.86 | 0.40 |
| SVR | 0.09 | 5.45 | 0.97 | 0.13 | 0.26 | 18.51 | 0.86 | 0.39 |
| CNN | 0.09 | 5.17 | 0.97 | 0.12 | 0.25 | 17.04 | 0.87 | 0.38 |
| FCNN | 0.08 | 4.60 | 0.98 | 0.10 | 0.27 | 19.87 | 0.88 | 0.36 |
| 方法 | MVS | Mix | ||||||
| MAE/g | MAPE/% | R 2 | RMSE/g | MAE/g | MAPE/% | R 2 | RMSE/g | |
| RF | 0.58 | 17.20 | 0.74 | 0.80 | 0.33 | 20.18 | 0.85 | 0.50 |
| GBRT | 0.55 | 13.88 | 0.77 | 0.76 | 0.28 | 19.45 | 0.90 | 0.41 |
| SVR | 0.40 | 10.44 | 0.87 | 0.57 | 0.25 | 17.79 | 0.91 | 0.39 |
| CNN | 0.42 | 10.41 | 0.87 | 0.56 | 0.27 | 18.11 | 0.89 | 0.42 |
| FCNN | 0.48 | 13.60 | 0.84 | 0.64 | 0.24 | 18.31 | 0.92 | 0.36 |
| [1] |
翁杨, 曾睿, 吴陈铭, 等. 基于深度学习的农业植物表型研究综述[J]. 中国科学: 生命科学, 2019, 49(6): 698-716.
|
|
|
|
| [2] |
|
| [3] |
|
| [4] |
温维亮, 郭新宇, 张颖, 等. 作物表型组大数据技术及装备发展研究[J]. 中国工程科学, 2023, 25(4): 227-238.
|
|
|
|
| [5] |
|
| [6] |
|
| [7] |
赵春江. 植物表型组学大数据及其研究进展[J]. 农业大数据学报, 2019, 1(2): 5-18.
|
|
|
|
| [8] |
|
| [9] |
|
| [10] |
|
| [11] |
周敏姑, 闫云才, 高文, 等. 基于多光谱遥感和CNN的玉米地上生物量估算模型[J]. 农业机械学报, 2024, 55(9): 238-248.
|
|
|
|
| [12] |
|
| [13] |
|
| [14] |
|
| [15] |
樊鸿叶, 李姚姚, 卢宪菊, 等. 基于无人机多光谱遥感的春玉米叶面积指数和地上部生物量估算模型比较研究[J]. 中国农业科技导报, 2021, 23(9): 112-120.
|
|
|
|
| [16] |
王毅, 薛蓉, 韩文霆, 等. 基于CNN-LSTM-SA的玉米地上生物量估算[J]. 智慧农业(中英文), 2025, 7(4): 159-173.
|
|
|
|
| [17] |
|
| [18] |
亚森·吐尔迪, 阿丽亚·拜都热拉, 祖力甫哈尔·阿不都沙拉木, 等. 新疆农业大学校园内常见绿化树种叶片生物量估算[J]. 中国农学通报, 2017, 33(25): 48-51.
|
|
YASIN·TURDI, ALIYA·BAIDOURELA, ZULUPKAR·ABDUSALAM, et al. Leaf biomass estimation of common greening tree species in Xinjiang agricultural university campus[J]. Chinese Agricultural Science Bulletin, 2017, 33(25): 48-51.
|
|
| [19] |
|
| [20] |
|
| [21] |
|
| [22] |
|
| [23] |
朱荣胜, 李帅, 孙永哲, 等. 作物三维重构技术研究现状及前景展望[J]. 智慧农业(中英文), 2021, 3(3): 94-115.
|
|
|
|
| [24] |
|
| [25] |
|
| [26] |
|
| [27] |
|
| [28] |
|
| [29] |
|
| [30] |
温维亮, 郭新宇, 赵春江, 等. 基于三维数字化的玉米株型参数提取方法研究[J]. 中国农业科学, 2018, 51(6): 1034-1044.
|
|
|
| [1] | YAO Xiaotong, QU Shaoye. Lightweight Detection Method for Pepper Leaf Diseases and Pests Based on Improved YOLOv12s [J]. Smart Agriculture, 2026, 8(1): 1-14. |
| [2] | LIU Jie, GUO Jiaxin, ZHANG Jiahao, ZHANG Bingchao, XIONG Jie, CAO Jianpeng, WU Shangrong, DENG Yingbin, CHEN Guipeng. Method for Estimating Leaf Area Index of Winter Rapeseed Based on Fusion of Vegetation Indices and Texture Features [J]. Smart Agriculture, 2025, 7(6): 161-173. |
| [3] | ZHANG Yun, ZHANG Lumin, XU Guangtao, HAO Jiahui. Remote Sensing Extraction Method of Rice-Crayfish Fields Based on Dual-Branch and Multi-Scale Attention [J]. Smart Agriculture, 2025, 7(6): 185-195. |
| [4] | ZHAO Jun, NIE Zhigang, LI Guang, LIU Jiayu. Corn Borer Pests Infestations Detection Method Using Low-Altitude Close-Range UAV Imagery [J]. Smart Agriculture, 2025, 7(6): 111-123. |
| [5] | LI Wenzheng, YANG Xinting, SUN Chuanheng, CUI Tengpeng, WANG Hui, LI Shanshan, LI Wenyong. Light-Trapping Rice Planthopper Detection Method by Combining Spatial Depth Transform Convolution and Multi-scale Attention Mechanism [J]. Smart Agriculture, 2025, 7(5): 169-181. |
| [6] | HAN Wenkai, LI Tao, FENG Qingchun, CHEN Liping. Lightweight Apple Instance Segmentation Algorithm Based on SSW-YOLOv11n for Complex Orchard Environments [J]. Smart Agriculture, 2025, 7(5): 114-123. |
| [7] | WANG Fengyun, WANG Xuanyu, AN Lei, FENG Wenjie. Detection Method for Log-Cultivated Shiitake Mushrooms Based on Improved RT-DETR [J]. Smart Agriculture, 2025, 7(5): 67-77. |
| [8] | ZHAO Yingping, LIANG Jinming, CHEN Beizhang, DENG Xiaoling, ZHANG Yi, XIONG Zheng, PAN Ming, MENG Xiangbao. Applications Research Progress and Prospects of Multi-Agent Large Language Models in Agricultural [J]. Smart Agriculture, 2025, 7(5): 37-51. |
| [9] | HU Yan, WANG Yujie, ZHANG Xuechen, ZHANG Yiqiang, YU Huahao, SONG Xinbei, YE Sitan, ZHOU Jihong, CHEN Zhenlin, ZONG Weiwei, HE Yong, LI Xiaoli. Non-Destructive Inspection and Intelligent Grading Method of Fu Brick Tea at Fungal Fermentation Stage Based on Hyperspectral Imaging Technology [J]. Smart Agriculture, 2025, 7(4): 71-83. |
| [10] | BAI Ruibin, WANG Hui, WANG Hongpeng, HONG Jiashun, ZHOU Junhui, YANG Jian. Rapid and Non-Destructive Analysis Method of Hawthorn Moisture Content Based on Hyperspectral Imaging Technology [J]. Smart Agriculture, 2025, 7(4): 95-107. |
| [11] | LI Ruijie, WANG Aidong, WU Huaxing, LI Ziqiu, FENG Xiangqian, HONG Weiyuan, TANG Xuejun, QIN Jinhua, WANG Danying, CHU Guang, ZHANG Yunbo, CHEN Song. Remote Sensing for Rice Growth Stages Monitoring: Research Progress, Bottleneck Problems and Technical Optimization Paths [J]. Smart Agriculture, 2025, 7(3): 89-107. |
| [12] | HAN Yu, QI Kangkang, ZHENG Jiye, LI Jinai, JIANG Fugui, ZHANG Xianglun, YOU Wei, ZHANG Xia. Lightweight Cattle Facial Recognition Method Based on Improved YOLOv11 [J]. Smart Agriculture, 2025, 7(3): 173-184. |
| [13] | LIU Long, WANG Ning, WANG Jiacheng, CAO Yuheng, ZHANG Kai, KANG Feng, WANG Yaxiong. Pruning Point Recognition and Localization for Spindle-Shaped Apple Trees During Dormant Season Using an Improved U-Net Model [J]. Smart Agriculture, 2025, 7(3): 120-130. |
| [14] | MA Liu, MAO Kebiao, GUO Zhonghua. Defogging Remote Sensing Images Method Based on a Hybrid Attention-Based Generative Adversarial Network [J]. Smart Agriculture, 2025, 7(2): 172-182. |
| [15] | ZHU Shunyao, QU Hongjun, XIA Qian, GUO Wei, GUO Ya. Parametric Reconstruction Method of Wheat Leaf Curved Surface Based on Three-Dimensional Point Cloud [J]. Smart Agriculture, 2025, 7(1): 85-96. |
| Viewed | ||||||
|
Full text |
|
|||||
|
Abstract |
|
|||||