Welcome to Smart Agriculture 中文

Smart Agriculture ›› 2025, Vol. 7 ›› Issue (4): 174-186.doi: 10.12133/j.smartag.SA202504005

• Information Processing and Decision Making • Previous Articles     Next Articles

A Transfer Learning-Based Multimodal Model for Grape Detection and Counting

XU Wenwen1,2, YU Kejian3, DAI Zexu1,2, WU Yunzhi1,2()   

  1. 1. School of Information and Artificial Intelligence, Anhui Agricultural University, Hefei 230036, China
    2. Anhui Beidou Precision Agriculture Information Engineering Research Center, Hefei 230036, China
    3. School of Computer Science and Technology, Donghua University, Shanghai 201620, China
  • Received:2025-04-06 Online:2025-07-30
  • Foundation items:2024 Anhui Provincial Science and Technology Innovation Plan Project(202423k09020031); Special Fund for Anhui Characteristic Agriculture Industry Technology System(ahtsnycytx-12)
  • About author:

    XU Wenwen, E-mail:

  • corresponding author:
    WU Yunzhi, E-mail:

Abstract:

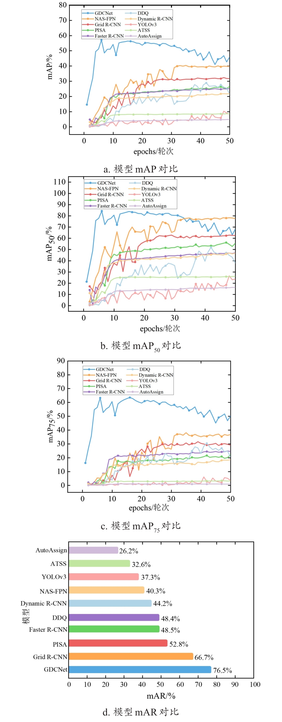
[Objective] As one of the world's largest cash crops in terms of total production value, grape has a yield whose accurate estimation is crucial for agricultural and economic development. However, at present, grape yield prediction is difficult and costly, detection of green grape varieties with similar colors of grape berries and grape leaves has limitations, and detection of grape bunches with small berries is ineffective. In order to solve the above problems, a multimodal detection framework is proposed based on transfer learning, which aims to realize the detection and counting of different varieties of grapes, so as to provide reliable technical support for grape yield prediction and intelligent management of orchards. [Methods] A multimodal grape detection framework based on transfer learning was proposed. This transfer learning utilized the feature representation capabilities of pretrained models, requiring only a small number of grape images for fine-tuning to adapt to the task. This approach not only reduced labeling costs but also enhanced the ability to capture grape features effectively. The multimodal framework adopted a dual-encoder-single-decoder structure, consisting of three core modules: the image and text feature extraction and enhancement module, the language-guided query selection module, and the cross-modality decoder module. In the feature extraction stage, the framework employed pretrained models from public datasets for transfer learning, which significantly reduced the training time and costs of the model on the target task while effectively improving the capability to capture grape features. By introducing a feature enhancement module, the framework achieved cross-modality fusion effects between grape images and text. Additionally, the attention mechanism was implemented to enhance both image and text features, facilitating cross-modality feature learning between images and text. During the cross-modality query selection phase, the framework utilized a language-guided query selection strategy that enabled the filtering of queries from grape images. This strategy allowed for a more effective use of input text to guide the object in target detection, selecting features that were more relevant to the input text as queries for the decoder. The cross-modality decoder combined the features from grape images and text modalities to achieve more accurate modality alignment, thereby facilitating a more effective fusion of grape image and text information, ultimately producing the corresponding grape prediction results. Finally, to comprehensively evaluate the model's performance, the mean average precision (mAP) and average recall (AR) were adopted as evaluation metrics for the detection task, while the counting task was quantified using the mean absolute error (MAE) and root mean square error (RMSE) as assessment indicators. [Results and Discussions] This method exhibited optimal performance in both detection and counting when compared to nine baseline models. Specifically, a comprehensive evaluation was conducted on the WGISD public dataset, where the method achieved an mAP50 of 80.3% in the detection task, representing a 2.7 percentage points improvement over the second-best model. Additionally, it reached 53.2% mAP and 58.2% mAP75, surpassing the second-best models by 13.4 and 22 percent points, respectively, and achieved an mAR of 76.5%, which was 9.8 percent points increase over the next best model. In the counting task, the method realized a MAE of 1.65 and an RMSE of 2.48, outperforming all other baseline models in counting effectiveness. Furthermore, experiments were conducted using a total of nine grape varieties from both the WGISD dataset and field-collected data, resulting in an mAP50 of 82.5%, an mAP of 58.5%, an mAP75 of 64.4%, an mAR of 77.1%, an MAE of 1.44, and an RMSE of 2.19. These results demonstrated the model's strong adaptability and effectiveness across diverse grape varieties. Notably, the method not only performed well in identifying large grape clusters but also showed superior performance on smaller grape clusters, achieving an mAP_s of 74.2% in the detection task, which was 9.5 percent points improvement over the second-best model. Additionally, to provide a more intuitive assessment of model performance, this study selected grape images from the test set for visual comparison analysis. The results revealed that the model's detection and counting outcomes for grape clusters closely aligned with the original annotation information from the label dataset. Overall, this method demonstrated strong generalization capabilities and higher accuracy under various environmental conditions for different grape varieties. This technology has the potential to be applied in estimating total orchard yield and reducing pre-harvest measurement errors, thereby effectively enhancing the precision management level of vineyards. [Conclusions] The proposed method achieved higher accuracy and better adaptability in detecting five grape varieties compared to other baseline models. Furthermore, the model demonstrated substantial practicality and robustness across nine different grape varieties. These findings suggested that the method developed in this study had significant application potential in grape detection and counting tasks. It could provide strong technical support for the intelligent development of precision agriculture and the grape cultivation industry, highlighting its promising prospects in enhancing agricultural practices.

Key words: transfer learning, counting, multimodal, detection, grape, GDCNet

CLC Number: