欢迎您访问《智慧农业(中英文)》官方网站! English

Smart Agriculture ›› 2025, Vol. 7 ›› Issue (4): 71-83.doi: 10.12133/j.smartag.SA202505012

• 专题--农产品品质智能感知与分级 • 上一篇    下一篇

基于高光谱成像技术的茯砖茶发花品质无损检测与智能识别方法

胡妍1, 王玉洁1, 张雪晨1, 张熠强1, 于桦昊1, 宋馨蓓1, 叶思潭1, 周继红2, 陈振林3, 纵巍伟3, 何勇1, 李晓丽1()   

  1. 1. 浙江大学 生物系统工程与食品科学学院,浙江 杭州 310058,中国
    2. 浙江大学 茶叶研究所,浙江 杭州 310058,中国
    3. 安徽捷迅光电技术有限公司,安徽 合肥 230012,中国
  • 收稿日期:2025-05-13 出版日期:2025-07-30
  • 基金项目:
    国家自然科学基金面上项目(32171889); 现代农业产业技术体系茶叶加工机械化岗位科学家(CARS-19-02A); 浙江省科技计划项目“尖兵”“领雁”研发攻关计划(2022C02044,2023C02043,2023C02009)
  • 作者简介:

    胡 妍,博士研究生,研究方向为农业电气化与自动化,农产品生理生化及品质无损测量方法。E-mail:

  • 通信作者:
    李晓丽,博士,教授,研究方向为农业电气化与自动化,农产品生理生化及品质无损测量方法。E-mail:

Non-Destructive Inspection and Intelligent Grading Method of Fu Brick Tea at Fungal Fermentation Stage Based on Hyperspectral Imaging Technology

HU Yan1, WANG Yujie1, ZHANG Xuechen1, ZHANG Yiqiang1, YU Huahao1, SONG Xinbei1, YE Sitan1, ZHOU Jihong2, CHEN Zhenlin3, ZONG Weiwei3, HE Yong1, LI Xiaoli1()   

  1. 1. College of Biosystems Engineering and Food Science, Zhejiang University, Hangzhou 310058, China
    2. Tea Research Institute, Zhejiang University, Hangzhou 310058, China
    3. Anhui Jiexun Optoelectronic Technology Co. , Ltd. , Hefei 230012, China
  • Received:2025-05-13 Online:2025-07-30
  • Foundation items:The National Natural Science Foundation of China(32171889); The Earmarked Fund for CARS(CARS-19-02A); The Key R&D Projects in Zhejiang Province(2022C02044,2023C02043,2023C02009)
  • About author:

    HU Yan, E-mail:

  • Corresponding author:
    LI Xiaoli, E-mail:

摘要:

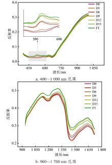
【目的/意义】 茯砖茶“金花”发花过程决定了茶叶品质、风味和功能。因而,建立一种快速、无损的茯砖茶发花品质检测方法,对提高质量控制与加工效率具有重要意义。 【方法】 通过采集茯砖茶发花过程中的可见-近红外与近红外范围的高光谱图像,测定发花过程的含水率、游离氨基酸、茶多酚、茶三素等关键品质指标,分析发花过程中的变化趋势。构建支持向量机、卷积神经网络(Convolutional Neural Network, CNN)和引入Squeeze-And-Excitation(SE)注意力机制的Spectra-SE-CNN模型实现对茯砖茶发花过程中品质指标的定量检测与品质识别。 【结果和讨论】 在茯砖茶品质指标的定量检测中,最佳模型均是Spectra-SE-CNN,含水率、茶三素和茶多酚的测试集决定系数(R²p)分别为0.859 5、0.852 5和0.838 3,表现出较高的相关性与建模稳定性;而游离氨基酸的R²p较低(0.670 2),可能因其变化不显著或光谱响应较弱所致。在茯砖茶发花品质识别中,Spectra-SE-CNN模型实现了100%的分类准确率,显著优于传统CNN,展现出更强的光谱特征提取与判别能力。t-分布领域嵌入算法(t-Distributed Stochastic Neighbor Embedding, t-SNE)可视化显示不同发花品质在低维空间中聚类清晰、边界明确;Grad-CAM进一步揭示模型关注于发花位置与边缘等关键区域,提升了模型的可解释性与实用性。 【结论】 高光谱成像技术可实现茯砖茶发花过程的品质评估与识别,具备快速、无损的优势。引入SE注意力机制的Spectra-SE-CNN模型进一步提升了模型效率,验证了深度学习算法在提取光谱特征方面的有效性。研究为茯砖茶发花过程的智能检测提供了可行方案,并拓展了其在农业智能检测中的应用路径。

关键词: 茯砖茶, 高光谱, 发花品质, 深度学习, 智能识别

Abstract:

[Objective] Fu brick tea is a popular fermented black tea, and its "Jin hua" fermentation process determines the quality, flavor and function of the tea. Therefore, the establishment of a rapid and non-destructive detection method for the fungal fermentation stage is of great significance to improve the quality control and processing efficiency. [Methods] The variation trend of Fu brick tea was analyzed through the acquisition of visible-near-infrared (VIS-NIR) and near-infrared (NIR) hyperspectral images during the fermentation stage, and combined with the key quality indexes such as moisture, free amino acids, tea polyphenols, and tea pigments (including theaflavins, thearubigins, and theabrownines), the variation trend was analyzed. This study combined support vector machine (SVM) and convolutional neural network (CNN) to establish quantitative detection of key quality indicators and qualitative identification of the fungal fermentation stage. To enhance model performance, the squeeze-and-excitation (SE) attention mechanism was incorporated, which strengthens the adaptive weight adjustment of feature channels, resulting in the development of the Spectra-SE-CNN model. Additionally, t-distributed stochastic neighbor embedding (t-SNE) was used for feature dimensionality reduction, aiding in the visualization of feature distributions during the fermentation process. To improve the interpretability of the model, the Grad-CAM technique was employed for CNN and Spectra-SE-CNN visualization, helping to identify the key regions the model focuses on. [Results and Discussions] In the quantitative detection of Fu brick tea quality, the best models were all Spectra-SE-CNN, with R2p of 0.859 5, 0.852 5 and 0.838 3 for moisture, tea pigments and tea polyphenols, respectively, indicating a high correlation and modeling stability. These values suggest that the models were capable of accurately predicting these key quality indicators based on hyperspectral data. However, the R2p for free amino acids was lower (0.670 2), which could be attributed to their relatively minor changes during the fermentation process or a weak spectral response, making it more challenging to detect this component reliably with the current hyperspectral imaging approach. The Spectra-SE-CNN model significantly outperformed traditional CNN models, demonstrating the effectiveness of incorporating the SE attention mechanism. The SE attention mechanism enhanced the model's ability to extract and discriminate important spectral features, thereby improving both classification accuracy and generalization. This indicated that the Spectra-SE-CNN model excels not only in feature extraction but also in enhancing the model's robustness to variations in the fermentation stage. Furthermore, t-SNE revealed a clear separation of the different fungal fermentation stages in the low-dimensional space, with distinct boundaries. This visualization highlighted the model's ability to distinguish between subtle spectral differences during the fermentation process. The heatmap generated by Grad-CAM emphasized key regions, such as the fermentation location and edges, providing valuable insights into the specific features the model deemed important for accurate predictions. This improved the model's transparency and helped validate the spectral features that were most influential in identifying the fermentation stages. [Conclusions] A Spectra-SE-CNN model was proposed in this research, which incorporates the SE attention mechanism into a convolutional neural network to enhance spectral feature learning. This architecture adaptively recalibrates channel-wise feature responses, allowing the model to focus on informative spectral bands and suppress irrelevant signals. As a result, the Spectra-SE-CNN achieved improved classification accuracy and training efficiency compared to CNN models, demonstrating the strong potential of deep learning in hyperspectral spectral feature extraction. The findings validate Hyperspectral imaging technology(HIS) enables rapid, non-destructive, and high-resolution assessment of Fu brick tea during its critical fungal fermentation stage and the feasibility of integrating HSI with intelligent algorithms for real-time monitoring of the Fu brick tea fermentation process. Furthermore, this approach offers a pathway for broader applications of hyperspectral imaging and deep learning in intelligent agricultural product monitoring, quality control, and automation of traditional fermentation processes.

Key words: Fu brick tea, hyperspectral, fermentation quality, deep learning, intelligent identification

中图分类号: